🇳🇴 🇬🇧 🇩🇪 🇨🇿 🇫🇮

Meteor Ringebun yllä 2025-04-14 21:57:17 UTC

KML-tiedosto  |  Interaktiivinen kartta

Kartta näyttää meteorin suuntahavainnot. Vaaleammat viivat näyttävät suunnat havaintoasemilta meteorin ilmestyessä, ja tummemmat viivat näyttävät, missä se viimeksi nähtiin. Sininen nuoli näyttää meteorin näkyvän lennon.

static map
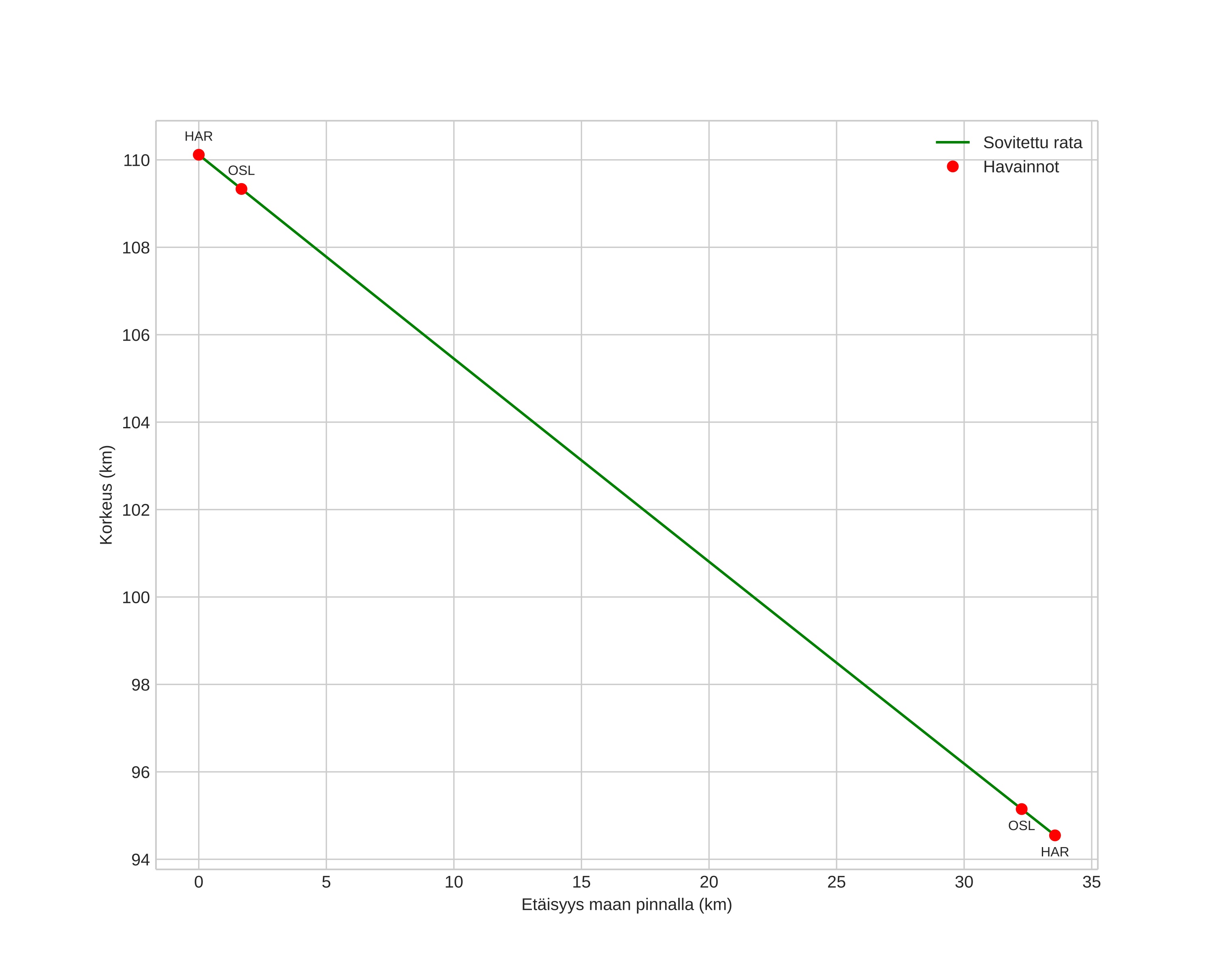
height profile
Meteorin ilmakehärata:
Alkukorkeus: 109,9 km
Loppukorkeus: 94,5 km
Alkupiste: 61,423N 10,746E
Loppupiste: 61,427N 10,108E
Suunta: 271,0°
Kallistuskulma: 24,4°
Tulonopeus: 57,3 km/s
Radiantin R,A,: 17:20 (260,2°)
Radiantin Dekl,: 20,3°
Meteoriparvi: Sporadinen
Meteoroidin rataelementit:
Perihelietäisyys: 0,744 AU
Eksentrisyys: 1,254
Inklinaatio: 94,0°
Nousevan solmun pituus: 24,8°
Perihelin argumentti: 237,6°
Keskianomalia: -6,0°
Epookki: 2025 APR 14 21:57:17
orbit plot

Ei-interaktiivinen kuvaaja | Interaktiivinen kuvaaja

position vs time
speed and acceleration