🇳🇴 🇬🇧 🇩🇪 🇨🇿 🇫🇮

Meteor, poloha: Arvika 2025-04-15 01:38:24 UTC

Soubor KML  |  InteraktivnĂ­ mapa

Mapa zobrazuje dráhy meteoru. Světlejší čáry ukazují směry od pozorovacích stanic při objevení se meteoru a tmavší čáry, kde byl naposledy viděn. Modrá šipka značí viditelnou dráhu meteoru.

static map
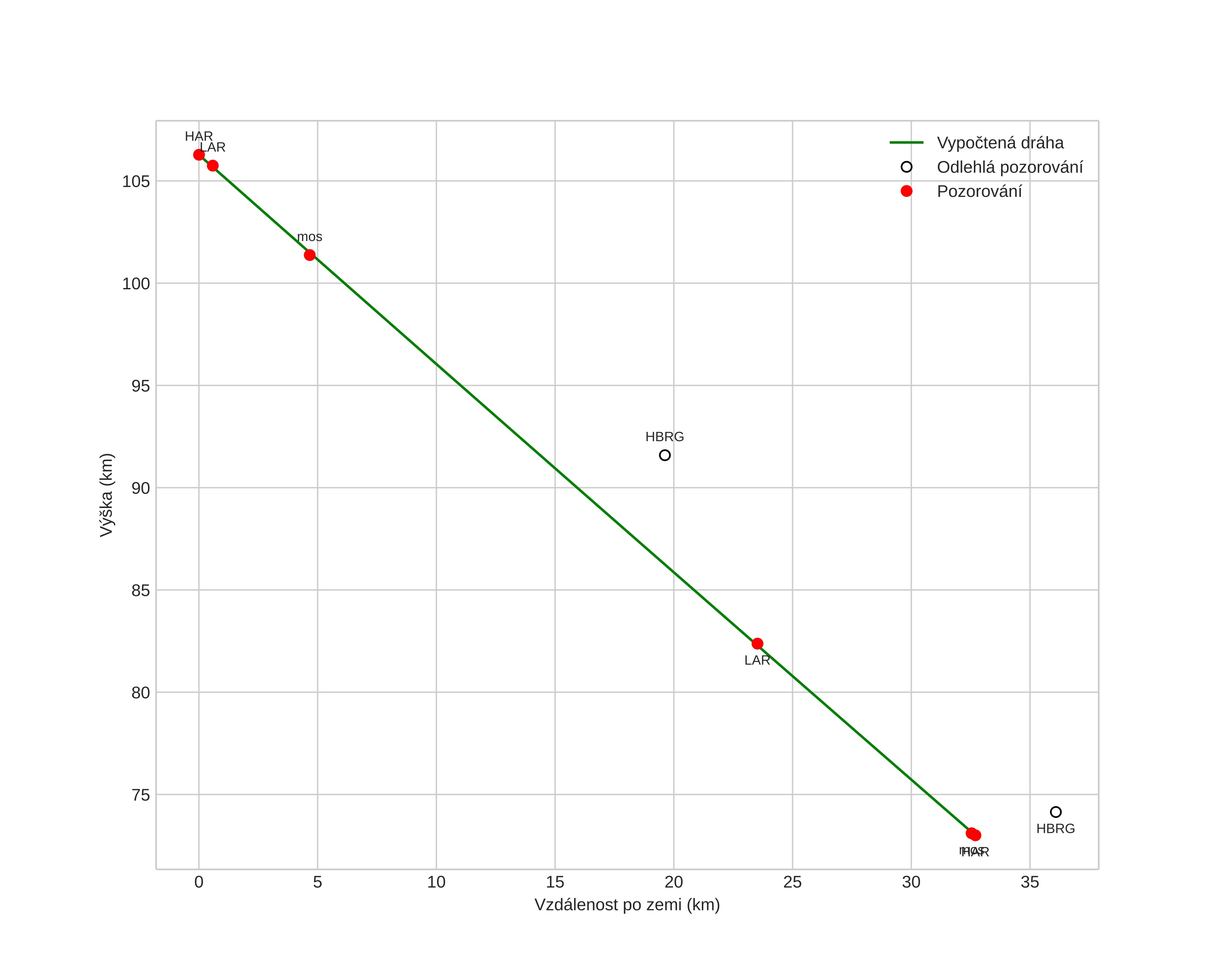
height profile
Atmosférická dráha meteoru:
Počáteční výška: 106,9 km
Konečná výška: 72,7 km
Počáteční poloha: 59,214N 12,485E
Konečná poloha: 59,516N 12,444E
Směr: 356,1°
Sklon: 45,5°
VstupnĂ­ rychlost: 49,0 km/s
Rektascenze radiantu: 16:11 (242,8°)
Deklinace radiantu: 14,1°
MeteorickĂ˝ roj: sporadickĂ˝
Elementy dráhy meteoroidu:
Vzdálenost v periheliu: 0,445 AU
Excentricita: 1,052
Sklon dráhy: 72,3°
Délka vzestupného uzlu: 25,0°
Argument perihelia: 274,8°
Střední anomálie: -1,5°
Epocha: 2025 APR 15 01:38:24
orbit plot

NeinteraktivnĂ­ graf | InteraktivnĂ­ graf

position vs time
speed and acceleration