🇳🇴 🇬🇧 🇩🇪 🇨🇿 🇫🇮

Meteor Arvikan yllä 2025-04-15 01:38:24 UTC

KML-tiedosto  |  Interaktiivinen kartta

Kartta näyttää meteorin suuntahavainnot. Vaaleammat viivat näyttävät suunnat havaintoasemilta meteorin ilmestyessä, ja tummemmat viivat näyttävät, missä se viimeksi nähtiin. Sininen nuoli näyttää meteorin näkyvän lennon.

static map
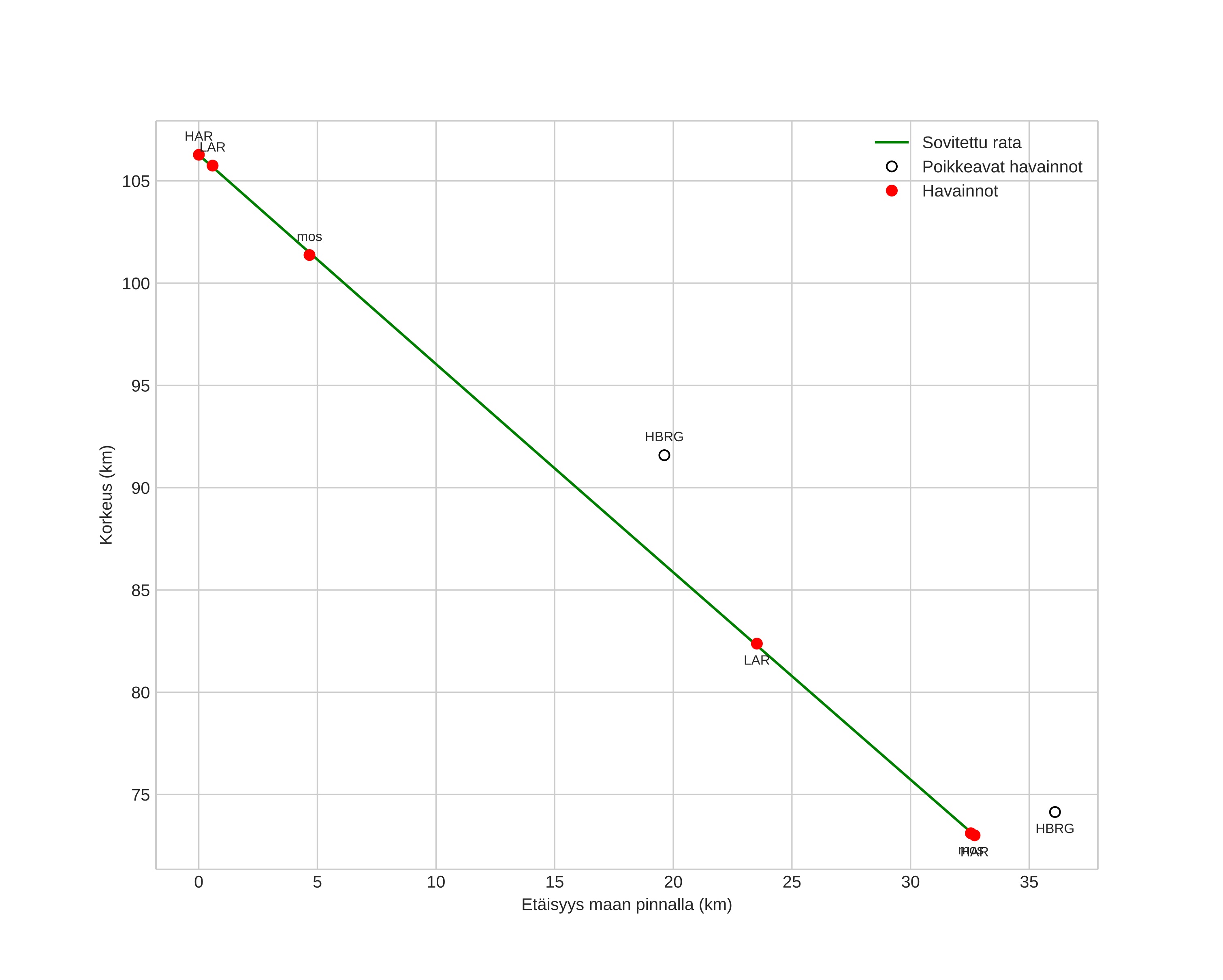
height profile
Meteorin ilmakehärata:
Alkukorkeus: 106,9 km
Loppukorkeus: 72,7 km
Alkupiste: 59,214N 12,485E
Loppupiste: 59,516N 12,444E
Suunta: 356,1°
Kallistuskulma: 45,5°
Tulonopeus: 49,0 km/s
Radiantin R,A,: 16:11 (242,8°)
Radiantin Dekl,: 14,1°
Meteoriparvi: Sporadinen
Meteoroidin rataelementit:
Perihelietäisyys: 0,445 AU
Eksentrisyys: 1,052
Inklinaatio: 72,3°
Nousevan solmun pituus: 25,0°
Perihelin argumentti: 274,8°
Keskianomalia: -1,5°
Epookki: 2025 APR 15 01:38:24
orbit plot

Ei-interaktiivinen kuvaaja | Interaktiivinen kuvaaja

position vs time
speed and acceleration