🇳🇴 🇬🇧 🇩🇪 🇨🇿 🇫🇮

Meteor, poloha: Hopen 2025-04-23 23:21:30 UTC

Soubor KML  |  InteraktivnĂ­ mapa

Mapa zobrazuje dráhy meteoru. Světlejší čáry ukazují směry od pozorovacích stanic při objevení se meteoru a tmavší čáry, kde byl naposledy viděn. Modrá šipka značí viditelnou dráhu meteoru.

static map
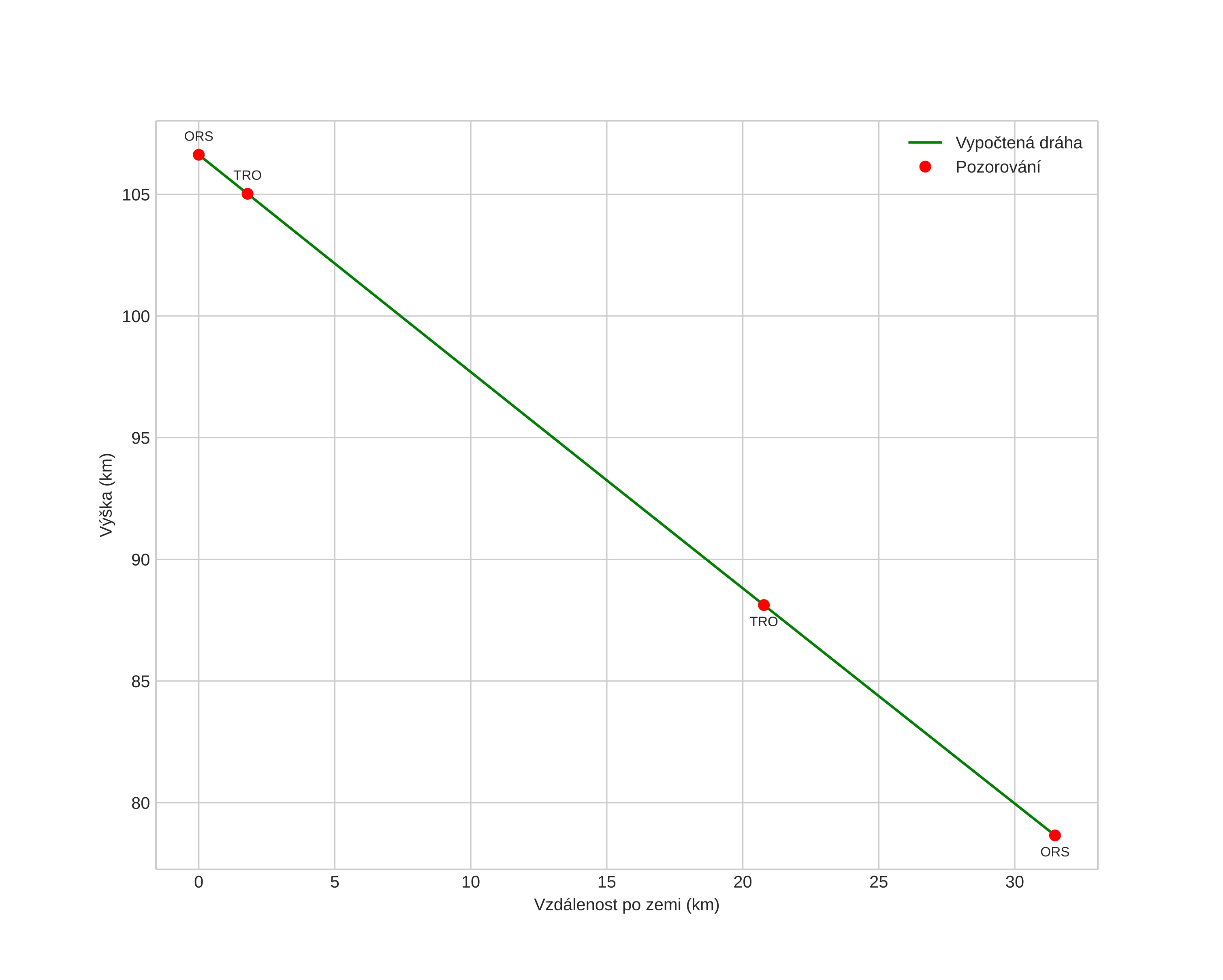
height profile
Atmosférická dráha meteoru:
Počáteční výška: 108,5 km
Konečná výška: 78,7 km
Počáteční poloha: 63,616N 8,832E
Konečná poloha: 63,662N 8,159E
Směr: 279,0°
Sklon: 41,5°
VstupnĂ­ rychlost: 49,7 km/s
Rektascenze radiantu: 18:11 (273,0°)
Deklinace radiantu: 32,3°
MeteorickĂ˝ roj: Lyridy
Elementy dráhy meteoroidu:
Vzdálenost v periheliu: 0,915 AU
Excentricita: 1,030
Sklon dráhy: 81,6°
Délka vzestupného uzlu: 33,7°
Argument perihelia: 214,7°
Střední anomálie: -0,1°
Epocha: 2025 APR 23 23:21:30
orbit plot

NeinteraktivnĂ­ graf | InteraktivnĂ­ graf

position vs time
speed and acceleration