🇳🇴 🇬🇧 🇩🇪 🇨🇿 🇫🇮

Meteor Hopenin yllä 2025-04-23 23:21:30 UTC

KML-tiedosto  |  Interaktiivinen kartta

Kartta näyttää meteorin suuntahavainnot. Vaaleammat viivat näyttävät suunnat havaintoasemilta meteorin ilmestyessä, ja tummemmat viivat näyttävät, missä se viimeksi nähtiin. Sininen nuoli näyttää meteorin näkyvän lennon.

static map
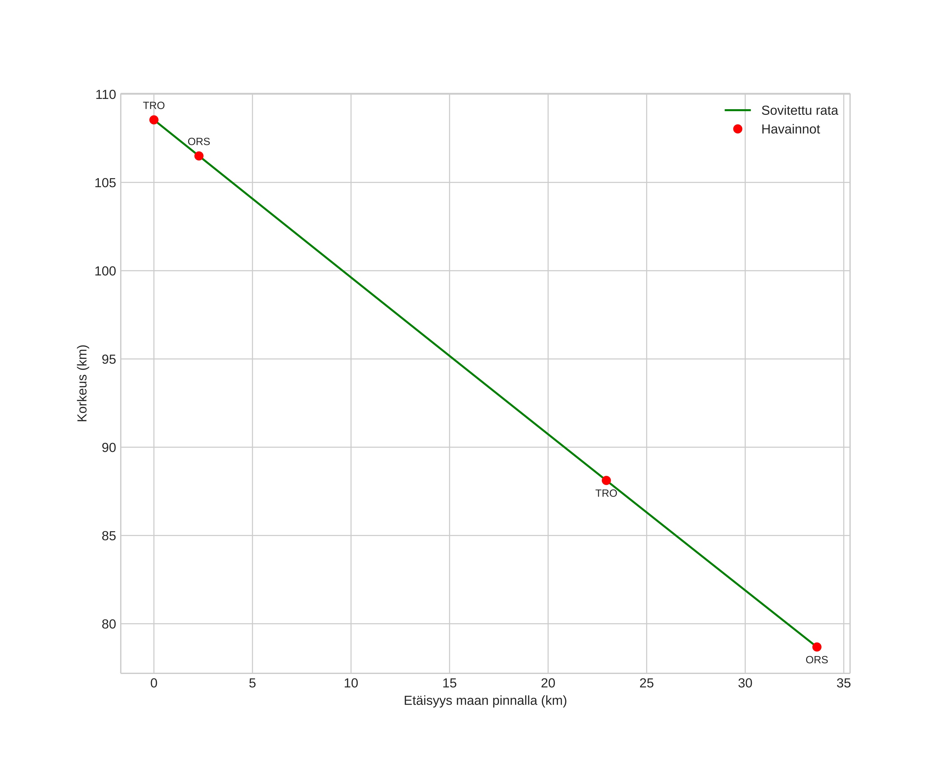
height profile
Meteorin ilmakehärata:
Alkukorkeus: 108,5 km
Loppukorkeus: 78,7 km
Alkupiste: 63,616N 8,832E
Loppupiste: 63,662N 8,159E
Suunta: 279,0°
Kallistuskulma: 41,5°
Tulonopeus: 49,7 km/s
Radiantin R,A,: 18:11 (273,0°)
Radiantin Dekl,: 32,3°
Meteoriparvi: Lyridit
Meteoroidin rataelementit:
Perihelietäisyys: 0,915 AU
Eksentrisyys: 1,030
Inklinaatio: 81,6°
Nousevan solmun pituus: 33,7°
Perihelin argumentti: 214,7°
Keskianomalia: -0,1°
Epookki: 2025 APR 23 23:21:30
orbit plot

Ei-interaktiivinen kuvaaja | Interaktiivinen kuvaaja

position vs time
speed and acceleration