🇳🇴 🇬🇧 🇩🇪 🇨🇿 🇫🇮

Meteor, poloha: Ă…mĂĄl 2025-04-25 00:38:06 UTC

Soubor KML  |  InteraktivnĂ­ mapa

Mapa zobrazuje dráhy meteoru. Světlejší čáry ukazují směry od pozorovacích stanic při objevení se meteoru a tmavší čáry, kde byl naposledy viděn. Modrá šipka značí viditelnou dráhu meteoru.

static map
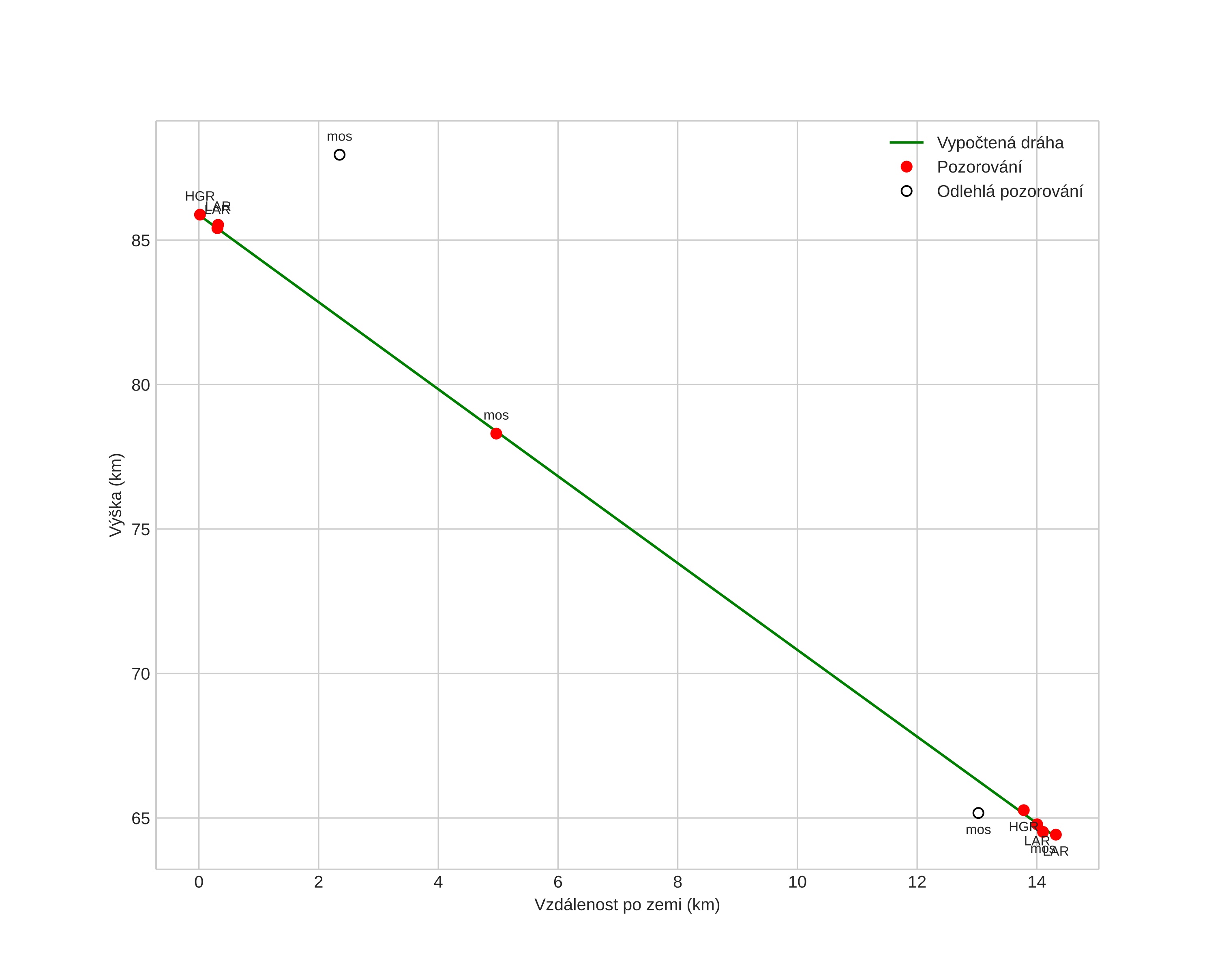
height profile
Atmosférická dráha meteoru:
Počáteční výška: 88,2 km
Konečná výška: 63,7 km
Počáteční poloha: 59,181N 12,430E
Konečná poloha: 59,215N 12,713E
Směr: 76,6°
Sklon: 55,9°
VstupnĂ­ rychlost: 16,2 km/s
Rektascenze radiantu: 12:17 (184,3°)
Deklinace radiantu: 35,5°
MeteorickĂ˝ roj: sporadickĂ˝
Elementy dráhy meteoroidu:
Vzdálenost v periheliu: 0,971 AU
Excentricita: 0,650
Sklon dráhy: 10,3°
Délka vzestupného uzlu: 34,7°
Argument perihelia: 204,4°
Střední anomálie: 356,0°
Epocha: 2025 APR 25 00:38:06
orbit plot

NeinteraktivnĂ­ graf | InteraktivnĂ­ graf

position vs time
speed and acceleration