🇳🇴 🇬🇧 🇩🇪 🇨🇿 🇫🇮

Meteor über Åmål 2025-04-25 00:38:06 UTC

KML-Datei  |  Interaktive Karte

Die Karte zeigt die Peilungen für den Meteor. Die helleren Linien zeigen die Richtungen von den Beobachtungsorten beim Erscheinen des Meteors, und die dunkleren Linien, wo er zuletzt gesehen wurde. Der blaue Pfeil zeigt die sichtbare Bahn des Meteors.

static map
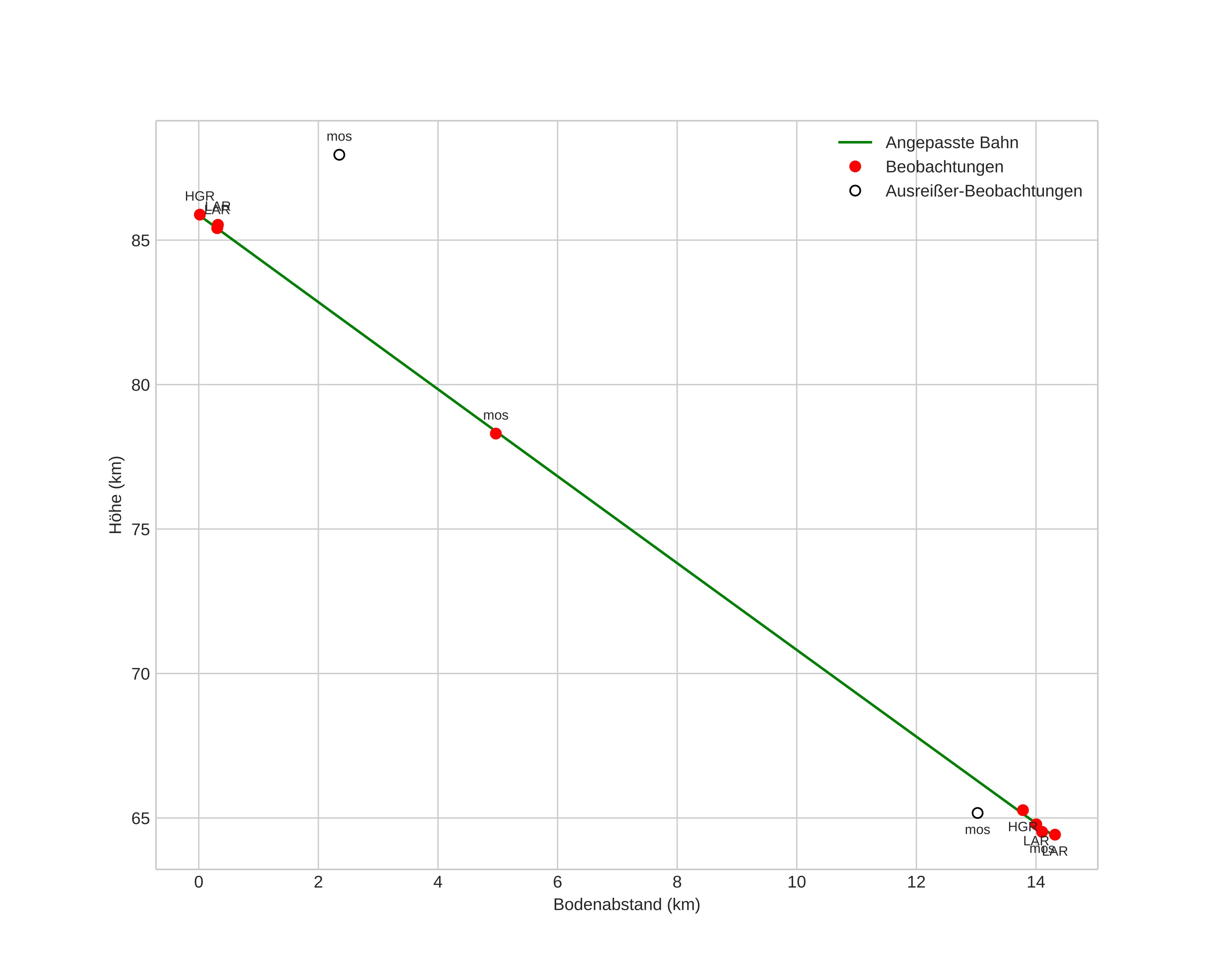
height profile
Atmosphärische Bahn des Meteors:
Anfangshöhe: 88,2 km
Endhöhe: 63,7 km
Startposition: 59,181N 12,430E
Endposition: 59,215N 12,713E
Richtung: 76,6°
Neigungswinkel: 55,9°
Eintrittsgeschwindigkeit: 16,2 km/s
Rektaszension des Radianten: 12:17 (184,3°)
Deklination des Radianten: 35,5°
Meteorstrom: sporadisch
Bahnelemente des Meteoroiden:
Periheldistanz: 0,971 AU
Exzentrizität: 0,650
Inklination: 10,3°
Länge des aufsteigenden Knotens: 34,7°
Argument des Perihels: 204,4°
Mittlere Anomalie: 356,0°
Epoche: 2025 APR 25 00:38:06
orbit plot

Nicht-interaktives Diagramm | Interaktives Diagramm

position vs time
speed and acceleration