🇳🇴 🇬🇧 🇩🇪 🇨🇿 🇫🇮

Meteor, poloha: Hällefors 2025-04-25 01:31:43 UTC

Soubor KML  |  InteraktivnĂ­ mapa

Mapa zobrazuje dráhy meteoru. Světlejší čáry ukazují směry od pozorovacích stanic při objevení se meteoru a tmavší čáry, kde byl naposledy viděn. Modrá šipka značí viditelnou dráhu meteoru.

static map
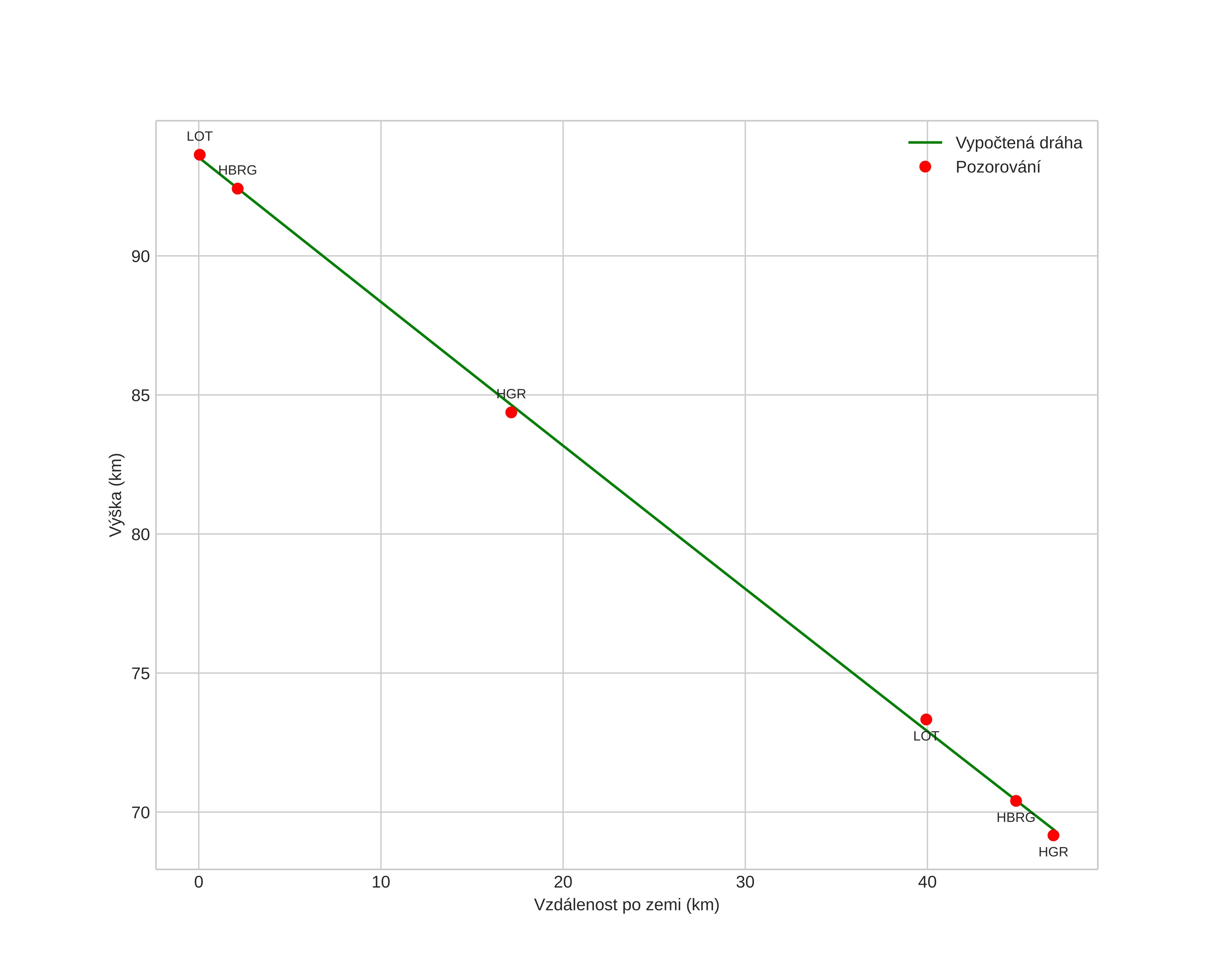
height profile
Atmosférická dráha meteoru:
Počáteční výška: 92,6 km
Konečná výška: 66,4 km
Počáteční poloha: 60,199N 15,418E
Konečná poloha: 59,895N 14,722E
Směr: 229,1°
Sklon: 27,0°
VstupnĂ­ rychlost: 31,5 km/s
Rektascenze radiantu: 00:22 (5,6°)
Deklinace radiantu: 41,3°
MeteorickĂ˝ roj: sporadickĂ˝
Elementy dráhy meteoroidu:
Vzdálenost v periheliu: 0,571 AU
Excentricita: 0,824
Sklon dráhy: 34,0°
Délka vzestupného uzlu: 34,8°
Argument perihelia: 92,5°
Střední anomálie: 7,3°
Epocha: 2025 APR 25 01:31:43
orbit plot

NeinteraktivnĂ­ graf | InteraktivnĂ­ graf

position vs time
speed and acceleration