🇳🇴 🇬🇧 🇩🇪 🇨🇿 🇫🇮

Meteor Hälleforsin yllä 2025-04-25 01:31:43 UTC

KML-tiedosto  |  Interaktiivinen kartta

Kartta näyttää meteorin suuntahavainnot. Vaaleammat viivat näyttävät suunnat havaintoasemilta meteorin ilmestyessä, ja tummemmat viivat näyttävät, missä se viimeksi nähtiin. Sininen nuoli näyttää meteorin näkyvän lennon.

static map
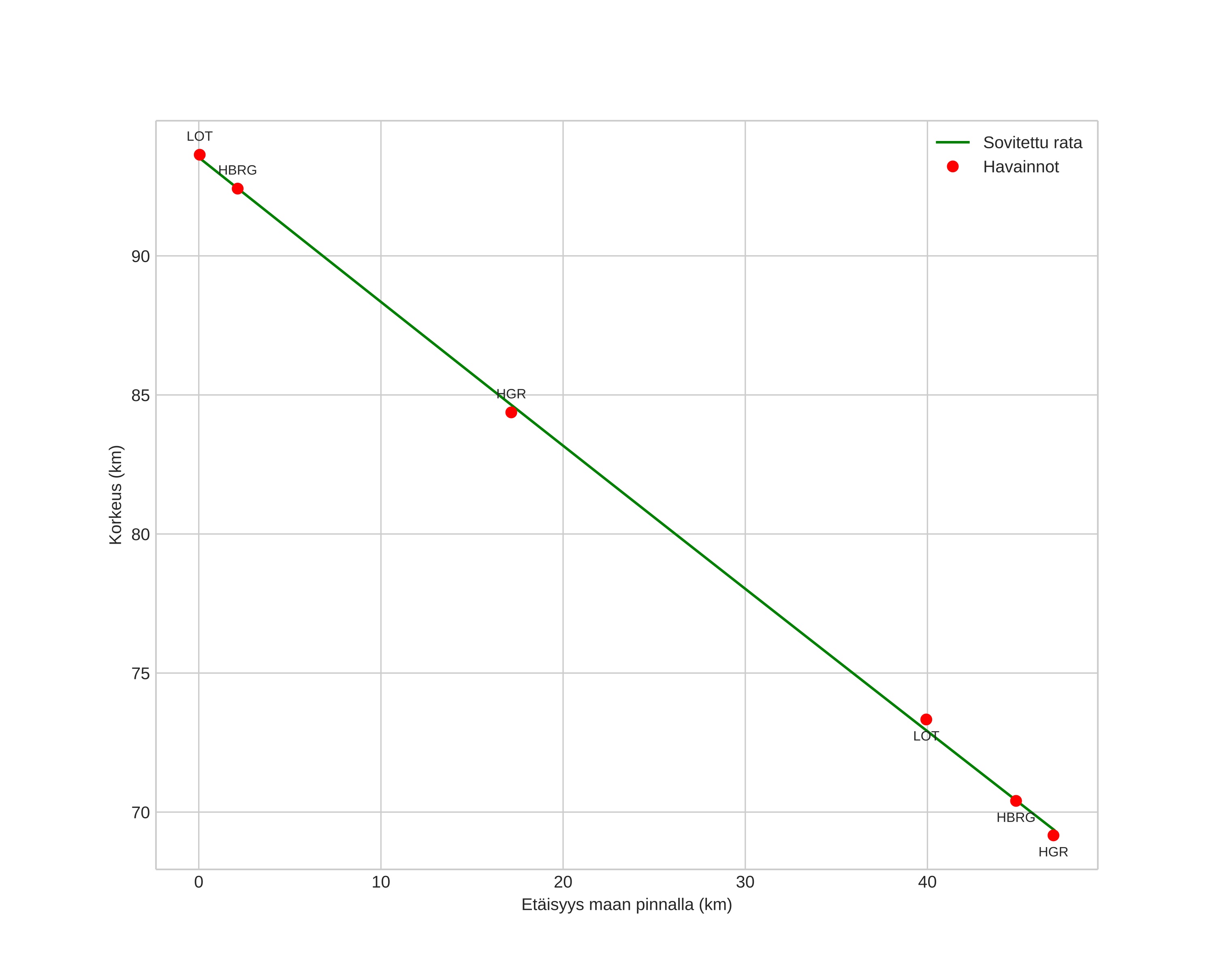
height profile
Meteorin ilmakehärata:
Alkukorkeus: 92,6 km
Loppukorkeus: 66,4 km
Alkupiste: 60,199N 15,418E
Loppupiste: 59,895N 14,722E
Suunta: 229,1°
Kallistuskulma: 27,0°
Tulonopeus: 31,5 km/s
Radiantin R,A,: 00:22 (5,6°)
Radiantin Dekl,: 41,3°
Meteoriparvi: Sporadinen
Meteoroidin rataelementit:
Perihelietäisyys: 0,571 AU
Eksentrisyys: 0,824
Inklinaatio: 34,0°
Nousevan solmun pituus: 34,8°
Perihelin argumentti: 92,5°
Keskianomalia: 7,3°
Epookki: 2025 APR 25 01:31:43
orbit plot

Ei-interaktiivinen kuvaaja | Interaktiivinen kuvaaja

position vs time
speed and acceleration