🇳🇴 🇬🇧 🇩🇪 🇨🇿 🇫🇮

Meteor, poloha: VĂĄler 2025-04-25 22:46:40 UTC

Soubor KML  |  InteraktivnĂ­ mapa

Mapa zobrazuje dráhy meteoru. Světlejší čáry ukazují směry od pozorovacích stanic při objevení se meteoru a tmavší čáry, kde byl naposledy viděn. Modrá šipka značí viditelnou dráhu meteoru.

static map
height profile
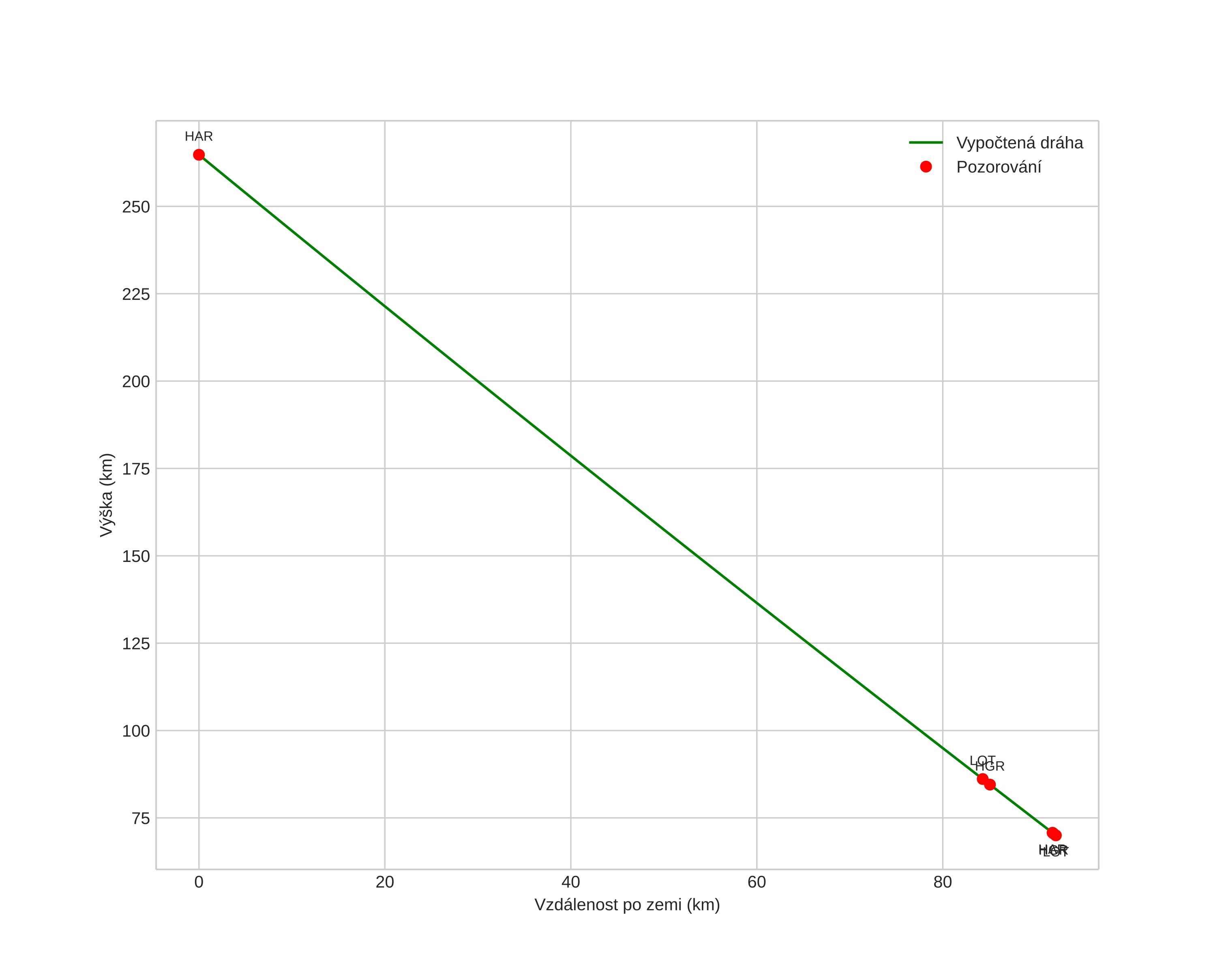
Atmosférická dráha meteoru:
Počáteční výška: 85,8 km
Konečná výška: 69,9 km
Počáteční poloha: 60,852N 11,850E
Konečná poloha: 60,887N 11,977E
Směr: 60,3°
Sklon: 63,6°
VstupnĂ­ rychlost: 14,8 km/s
Rektascenze radiantu: 11:23 (170,8°)
Deklinace radiantu: 37,6°
MeteorickĂ˝ roj: sporadickĂ˝
Elementy dráhy meteoroidu:
Vzdálenost v periheliu: 0,993 AU
Excentricita: 0,606
Sklon dráhy: 7,8°
Délka vzestupného uzlu: 35,6°
Argument perihelia: 195,3°
Střední anomálie: 357,0°
Epocha: 2025 APR 25 22:46:40
orbit plot

NeinteraktivnĂ­ graf | InteraktivnĂ­ graf

position vs time
speed and acceleration