🇳🇴 🇬🇧 🇩🇪 🇨🇿 🇫🇮

Meteor Vålerin yllä 2025-04-25 22:46:40 UTC

KML-tiedosto  |  Interaktiivinen kartta

Kartta näyttää meteorin suuntahavainnot. Vaaleammat viivat näyttävät suunnat havaintoasemilta meteorin ilmestyessä, ja tummemmat viivat näyttävät, missä se viimeksi nähtiin. Sininen nuoli näyttää meteorin näkyvän lennon.

static map
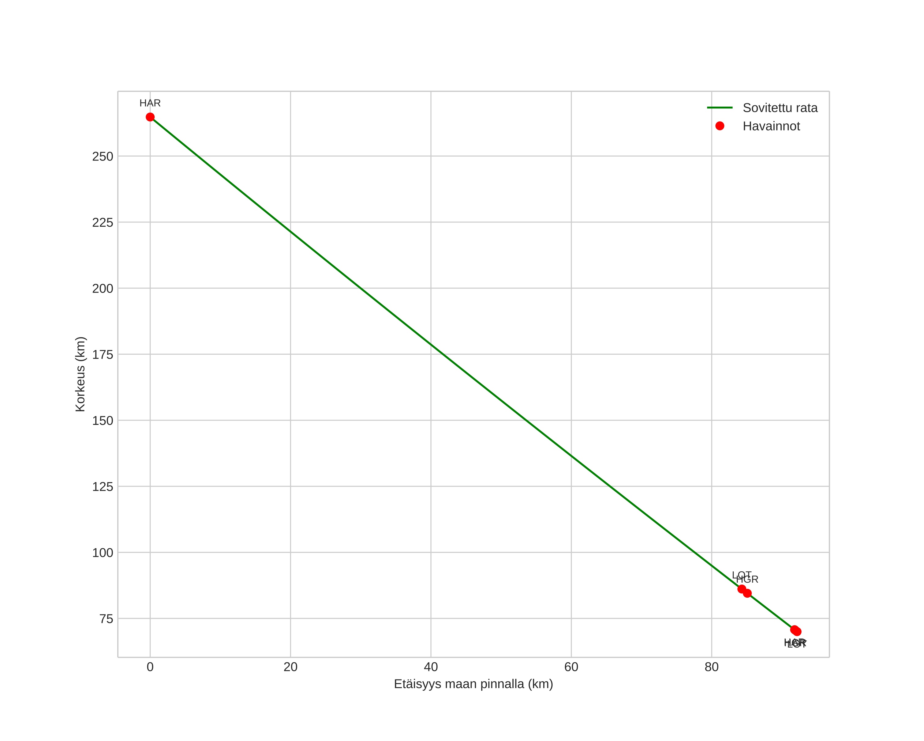
height profile
Meteorin ilmakehärata:
Alkukorkeus: 88,5 km
Loppukorkeus: 69,8 km
Alkupiste: 60,849N 11,836E
Loppupiste: 60,887N 11,976E
Suunta: 61,4°
Kallistuskulma: 65,2°
Tulonopeus: 15,1 km/s
Radiantin R,A,: 11:27 (171,8°)
Radiantin Dekl,: 39,8°
Meteoriparvi: Sporadinen
Meteoroidin rataelementit:
Perihelietäisyys: 0,993 AU
Eksentrisyys: 0,630
Inklinaatio: 8,6°
Nousevan solmun pituus: 35,6°
Perihelin argumentti: 195,0°
Keskianomalia: 357,3°
Epookki: 2025 APR 25 22:46:40
orbit plot

Ei-interaktiivinen kuvaaja | Interaktiivinen kuvaaja

position vs time
speed and acceleration