🇳🇴 🇬🇧 🇩🇪 🇨🇿 🇫🇮

Meteor, poloha: Nykøbing Mors 2025-04-25 23:55:28 UTC

Soubor KML  |  InteraktivnĂ­ mapa

Mapa zobrazuje dráhy meteoru. Světlejší čáry ukazují směry od pozorovacích stanic při objevení se meteoru a tmavší čáry, kde byl naposledy viděn. Modrá šipka značí viditelnou dráhu meteoru.

static map
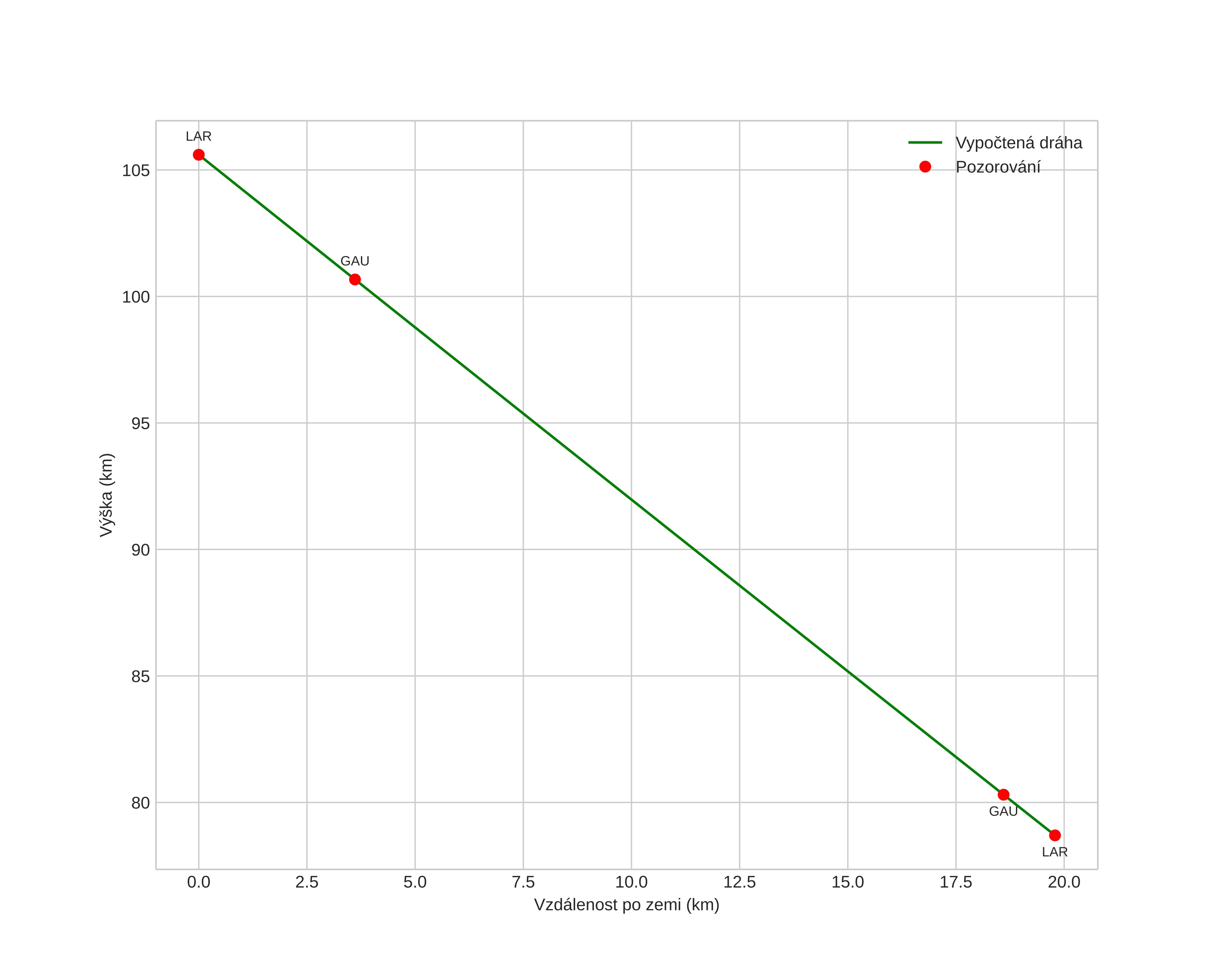
height profile
Atmosférická dráha meteoru:
Počáteční výška: 103,7 km
Konečná výška: 79,1 km
Počáteční poloha: 56,795N 8,909E
Konečná poloha: 56,724N 8,646E
Směr: 244,1°
Sklon: 54,0°
VstupnĂ­ rychlost: 40,3 km/s
Rektascenze radiantu: 19:16 (289,1°)
Deklinace radiantu: 54,6°
MeteorickĂ˝ roj: sporadickĂ˝
Elementy dráhy meteoroidu:
Vzdálenost v periheliu: 1,003 AU
Excentricita: 1,022
Sklon dráhy: 62,0°
Délka vzestupného uzlu: 35,7°
Argument perihelia: 173,5°
Střední anomálie: 0,0°
Epocha: 2025 APR 25 23:55:28
orbit plot

NeinteraktivnĂ­ graf | InteraktivnĂ­ graf

position vs time
speed and acceleration