🇳🇴 🇬🇧 🇩🇪 🇨🇿 🇫🇮

Meteor Nykøbing Morsin yllä 2025-04-25 23:55:28 UTC

KML-tiedosto  |  Interaktiivinen kartta

Kartta näyttää meteorin suuntahavainnot. Vaaleammat viivat näyttävät suunnat havaintoasemilta meteorin ilmestyessä, ja tummemmat viivat näyttävät, missä se viimeksi nähtiin. Sininen nuoli näyttää meteorin näkyvän lennon.

static map
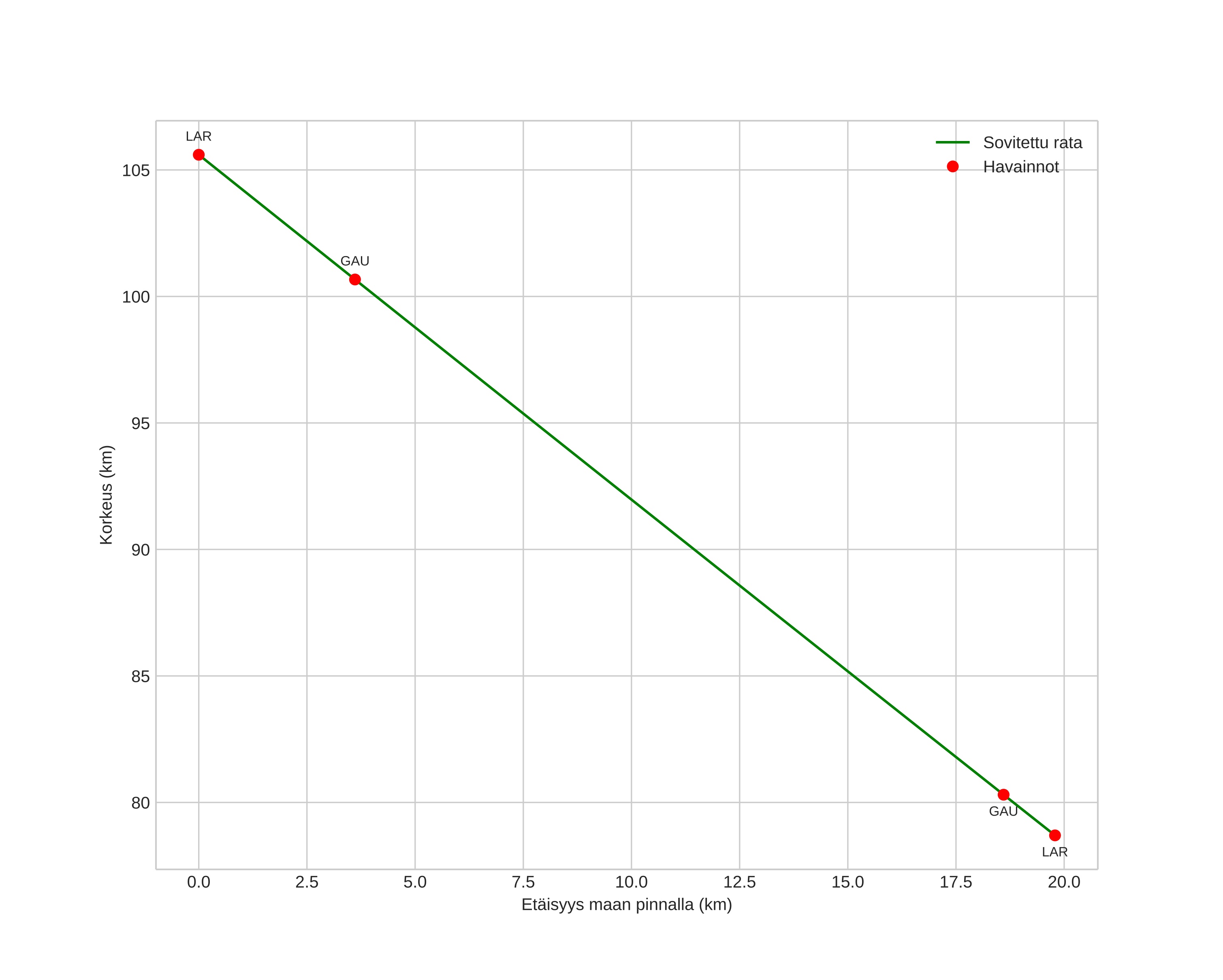
height profile
Meteorin ilmakehärata:
Alkukorkeus: 103,7 km
Loppukorkeus: 79,1 km
Alkupiste: 56,795N 8,909E
Loppupiste: 56,724N 8,646E
Suunta: 244,1°
Kallistuskulma: 54,0°
Tulonopeus: 40,3 km/s
Radiantin R,A,: 19:16 (289,1°)
Radiantin Dekl,: 54,6°
Meteoriparvi: Sporadinen
Meteoroidin rataelementit:
Perihelietäisyys: 1,003 AU
Eksentrisyys: 1,022
Inklinaatio: 62,0°
Nousevan solmun pituus: 35,7°
Perihelin argumentti: 173,5°
Keskianomalia: 0,0°
Epookki: 2025 APR 25 23:55:28
orbit plot

Ei-interaktiivinen kuvaaja | Interaktiivinen kuvaaja

position vs time
speed and acceleration