🇳🇴 🇬🇧 🇩🇪 🇨🇿 🇫🇮

Meteor, poloha: Lillesand 2025-04-26 21:44:16 UTC

Soubor KML  |  InteraktivnĂ­ mapa

Mapa zobrazuje dráhy meteoru. Světlejší čáry ukazují směry od pozorovacích stanic při objevení se meteoru a tmavší čáry, kde byl naposledy viděn. Modrá šipka značí viditelnou dráhu meteoru.

static map
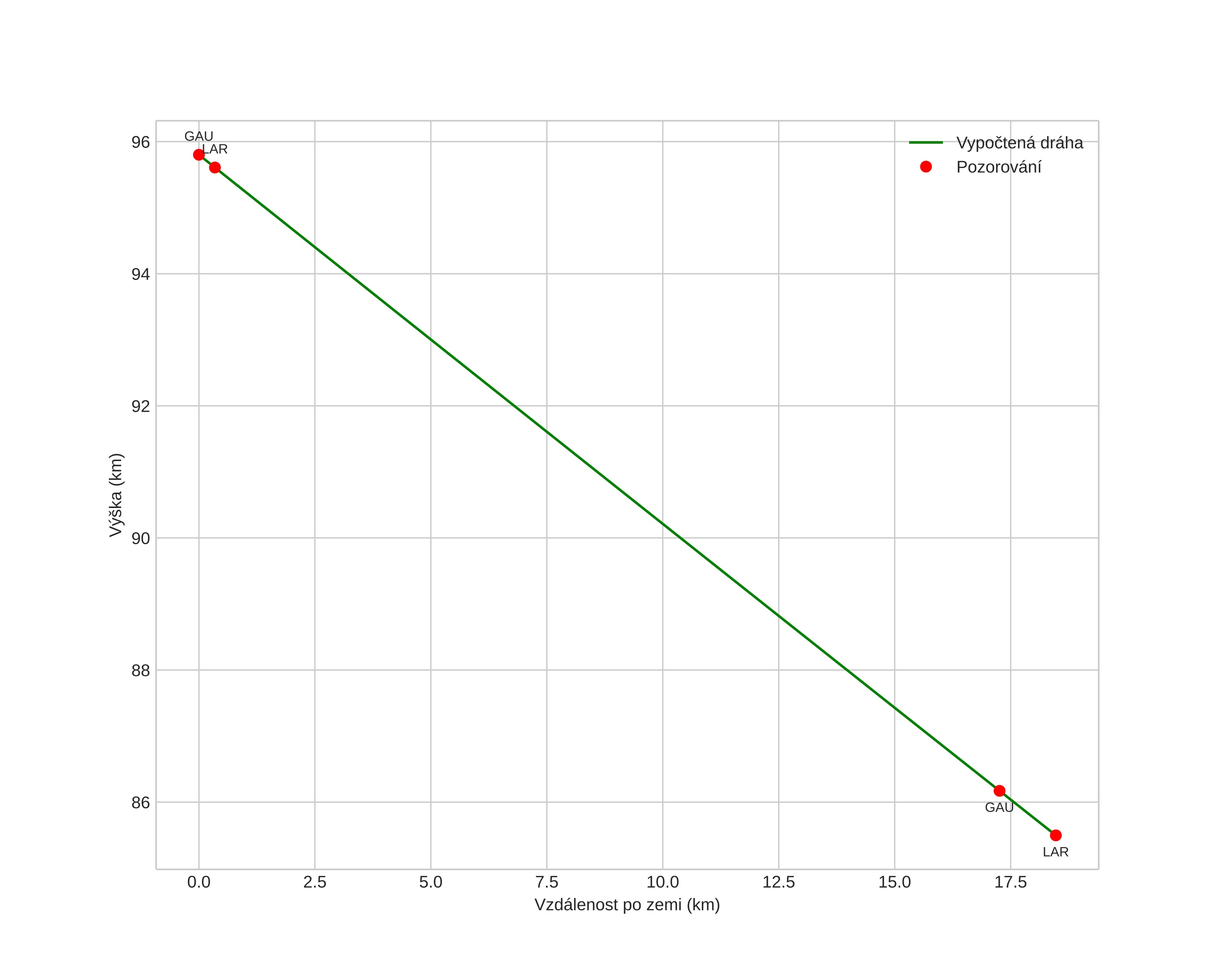
height profile
Atmosférická dráha meteoru:
Počáteční výška: 99,3 km
Konečná výška: 85,2 km
Počáteční poloha: 57,692N 8,579E
Konečná poloha: 57,880N 8,341E
Směr: 326,0°
Sklon: 29,3°
VstupnĂ­ rychlost: 29,7 km/s
Rektascenze radiantu: 14:35 (218,9°)
Deklinace radiantu: -0,8°
MeteorickĂ˝ roj: sporadickĂ˝
Elementy dráhy meteoroidu:
Vzdálenost v periheliu: 0,549 AU
Excentricita: 0,899
Sklon dráhy: 12,4°
Délka vzestupného uzlu: 36,6°
Argument perihelia: 267,7°
Střední anomálie: 356,8°
Epocha: 2025 APR 26 21:44:16
orbit plot

NeinteraktivnĂ­ graf | InteraktivnĂ­ graf

position vs time
speed and acceleration