🇳🇴 🇬🇧 🇩🇪 🇨🇿 🇫🇮

Meteor Lillesandin yllä 2025-04-26 21:44:16 UTC

KML-tiedosto  |  Interaktiivinen kartta

Kartta näyttää meteorin suuntahavainnot. Vaaleammat viivat näyttävät suunnat havaintoasemilta meteorin ilmestyessä, ja tummemmat viivat näyttävät, missä se viimeksi nähtiin. Sininen nuoli näyttää meteorin näkyvän lennon.

static map
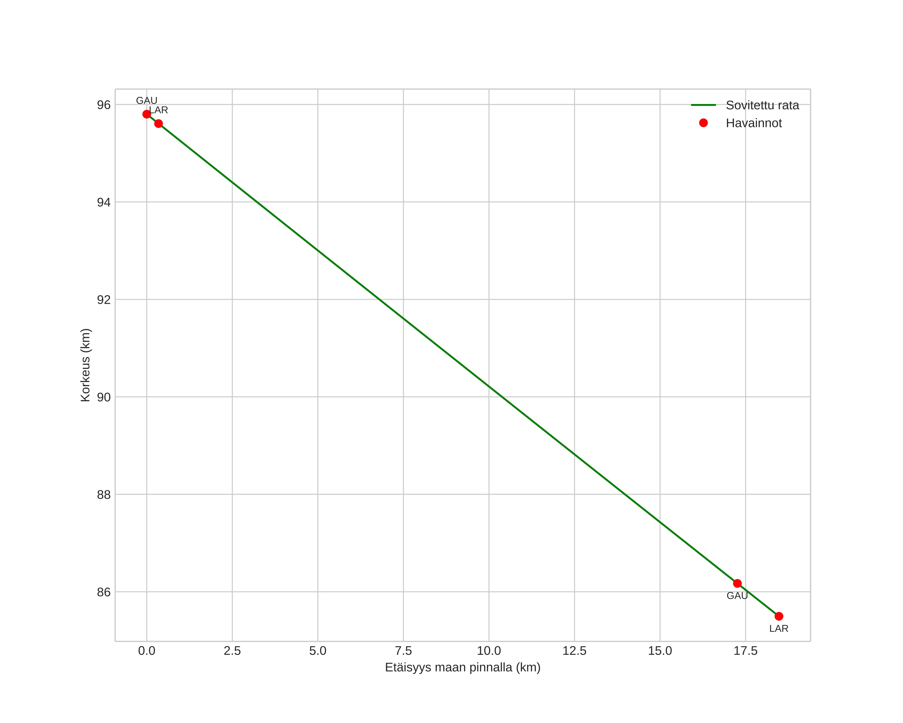
height profile
Meteorin ilmakehärata:
Alkukorkeus: 99,3 km
Loppukorkeus: 85,2 km
Alkupiste: 57,692N 8,579E
Loppupiste: 57,880N 8,341E
Suunta: 326,0°
Kallistuskulma: 29,3°
Tulonopeus: 29,7 km/s
Radiantin R,A,: 14:35 (218,9°)
Radiantin Dekl,: -0,8°
Meteoriparvi: Sporadinen
Meteoroidin rataelementit:
Perihelietäisyys: 0,549 AU
Eksentrisyys: 0,899
Inklinaatio: 12,4°
Nousevan solmun pituus: 36,6°
Perihelin argumentti: 267,7°
Keskianomalia: 356,8°
Epookki: 2025 APR 26 21:44:16
orbit plot

Ei-interaktiivinen kuvaaja | Interaktiivinen kuvaaja

position vs time
speed and acceleration