🇳🇴 🇬🇧 🇩🇪 🇨🇿 🇫🇮

Meteor, poloha: Skotterud 2025-05-02 23:06:05 UTC

Soubor KML  |  InteraktivnĂ­ mapa

Mapa zobrazuje dráhy meteoru. Světlejší čáry ukazují směry od pozorovacích stanic při objevení se meteoru a tmavší čáry, kde byl naposledy viděn. Modrá šipka značí viditelnou dráhu meteoru.

static map
height profile
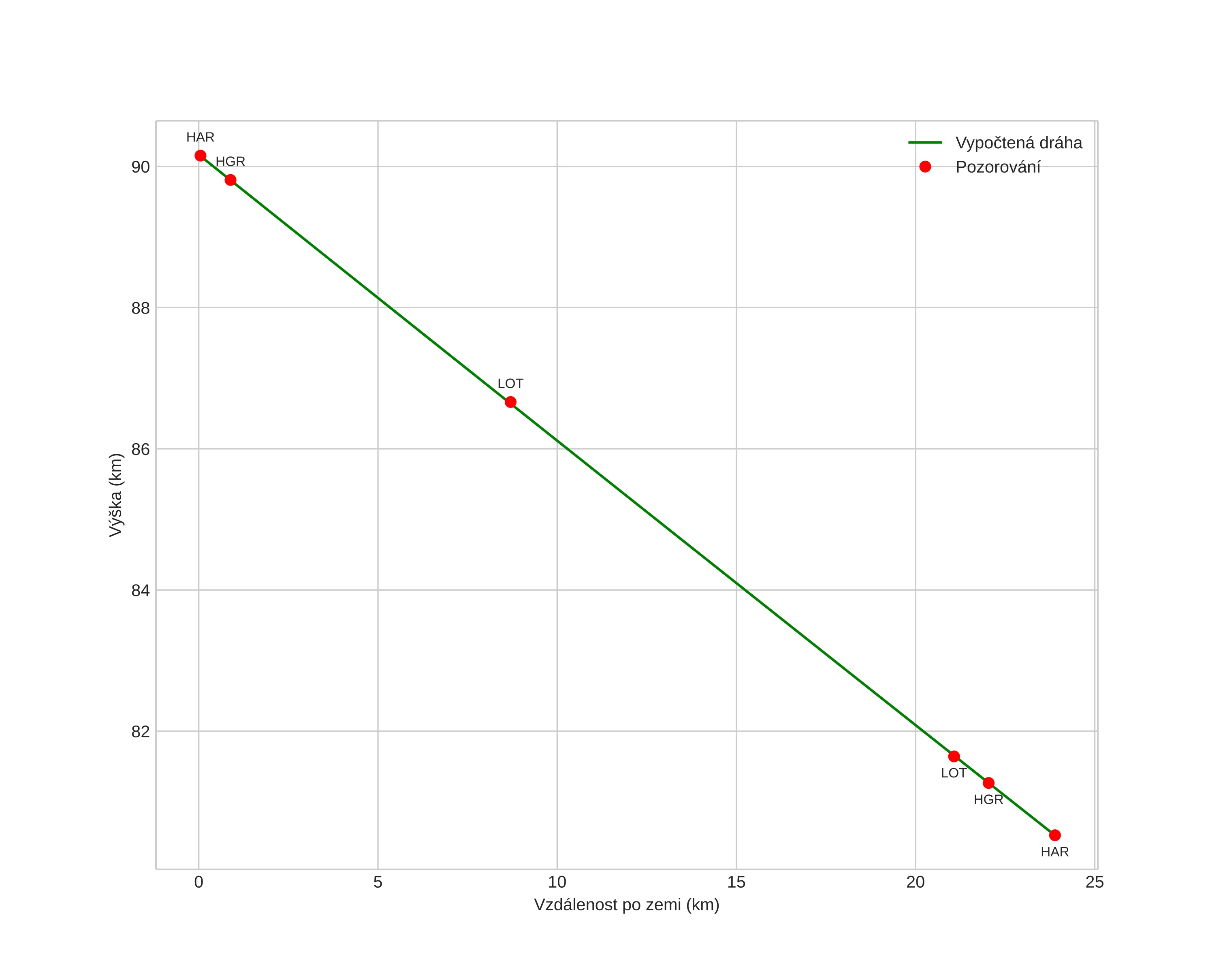
Atmosférická dráha meteoru:
Počáteční výška: 90,2 km
Konečná výška: 80,5 km
Počáteční poloha: 60,148N 11,625E
Konečná poloha: 60,001N 11,944E
Směr: 132,6°
Sklon: 22,0°
VstupnĂ­ rychlost: 15,1 km/s
Rektascenze radiantu: 06:16 (94,1°)
Deklinace radiantu: 26,1°
MeteorickĂ˝ roj: sporadickĂ˝
Elementy dráhy meteoroidu:
Vzdálenost v periheliu: 0,967 AU
Excentricita: 0,685
Sklon dráhy: 0,8°
Délka vzestupného uzlu: 42,6°
Argument perihelia: 154,0°
Střední anomálie: 3,6°
Epocha: 2025 MAY 02 23:06:05
orbit plot

NeinteraktivnĂ­ graf | InteraktivnĂ­ graf

position vs time
speed and acceleration