🇳🇴 🇬🇧 🇩🇪 🇨🇿 🇫🇮

Meteor Skotterudin yllä 2025-05-02 23:06:05 UTC

KML-tiedosto  |  Interaktiivinen kartta

Kartta näyttää meteorin suuntahavainnot. Vaaleammat viivat näyttävät suunnat havaintoasemilta meteorin ilmestyessä, ja tummemmat viivat näyttävät, missä se viimeksi nähtiin. Sininen nuoli näyttää meteorin näkyvän lennon.

static map
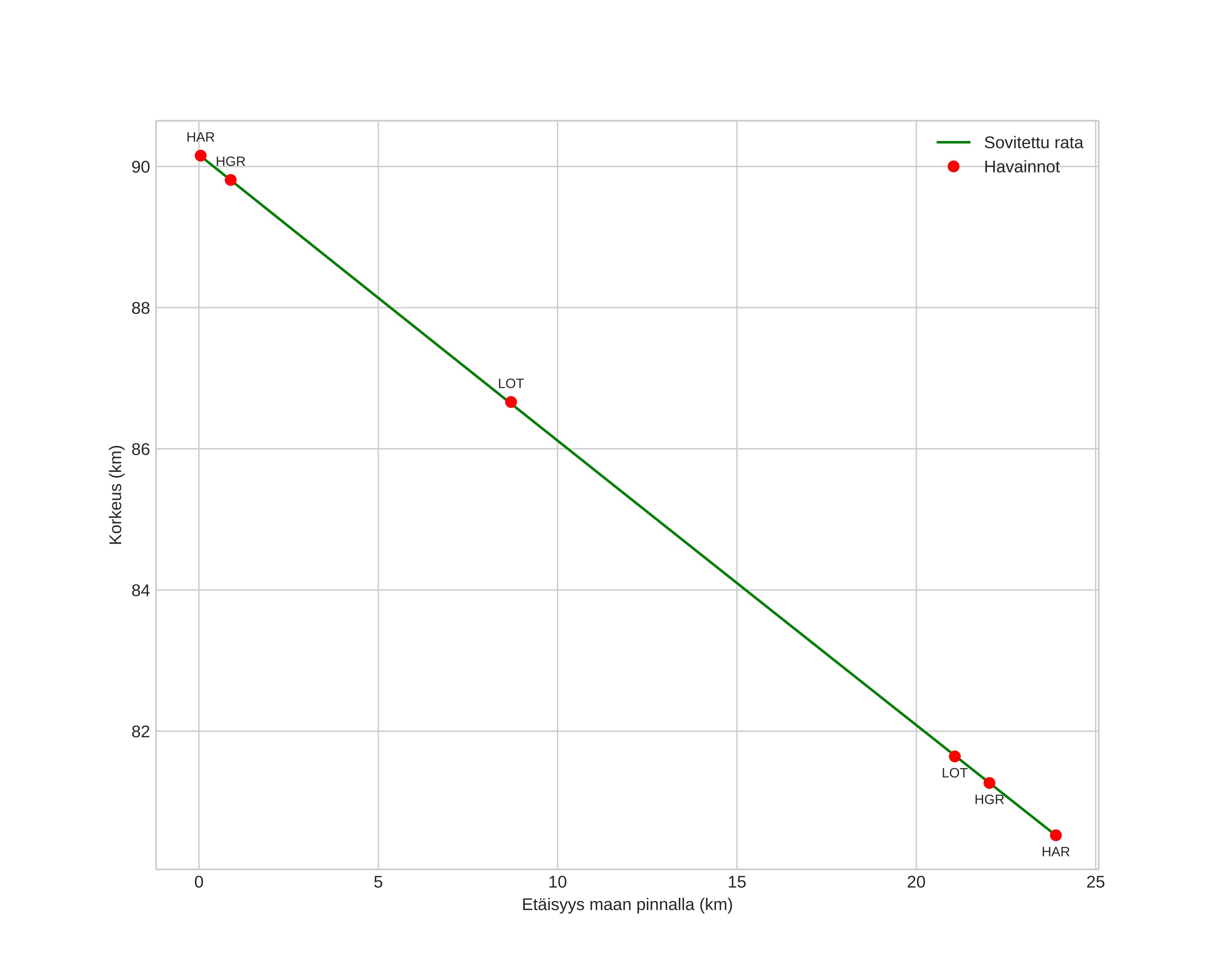
height profile
Meteorin ilmakehärata:
Alkukorkeus: 90,2 km
Loppukorkeus: 80,5 km
Alkupiste: 60,148N 11,625E
Loppupiste: 60,001N 11,944E
Suunta: 132,6°
Kallistuskulma: 22,0°
Tulonopeus: 15,1 km/s
Radiantin R,A,: 06:16 (94,1°)
Radiantin Dekl,: 26,1°
Meteoriparvi: Sporadinen
Meteoroidin rataelementit:
Perihelietäisyys: 0,967 AU
Eksentrisyys: 0,685
Inklinaatio: 0,8°
Nousevan solmun pituus: 42,6°
Perihelin argumentti: 154,0°
Keskianomalia: 3,6°
Epookki: 2025 MAY 02 23:06:05
orbit plot

Ei-interaktiivinen kuvaaja | Interaktiivinen kuvaaja

position vs time
speed and acceleration