🇳🇴 🇬🇧 🇩🇪 🇨🇿 🇫🇮

Meteor, poloha: Spetalen 2025-05-03 00:39:47 UTC

Soubor KML  |  InteraktivnĂ­ mapa

Mapa zobrazuje dráhy meteoru. Světlejší čáry ukazují směry od pozorovacích stanic při objevení se meteoru a tmavší čáry, kde byl naposledy viděn. Modrá šipka značí viditelnou dráhu meteoru.

static map
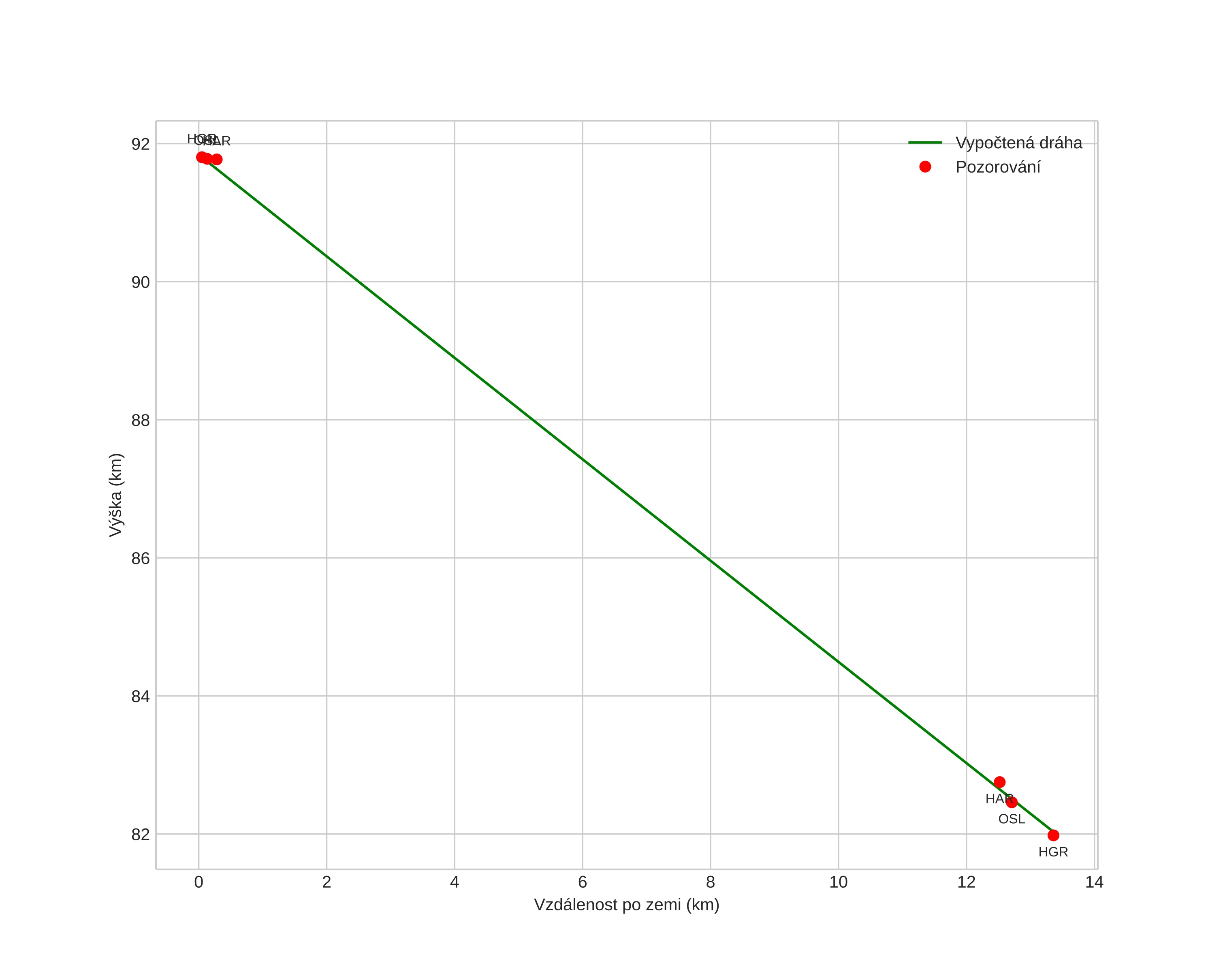
height profile
Atmosférická dráha meteoru:
Počáteční výška: 93,5 km
Konečná výška: 82,0 km
Počáteční poloha: 60,197N 11,741E
Konečná poloha: 60,305N 11,921E
Směr: 39,7°
Sklon: 36,5°
VstupnĂ­ rychlost: 20,2 km/s
Rektascenze radiantu: 13:54 (208,6°)
Deklinace radiantu: 7,2°
MeteorickĂ˝ roj: sporadickĂ˝
Elementy dráhy meteoroidu:
Vzdálenost v periheliu: 0,822 AU
Excentricita: 0,719
Sklon dráhy: 8,5°
Délka vzestupného uzlu: 42,5°
Argument perihelia: 236,1°
Střední anomálie: 352,7°
Epocha: 2025 MAY 03 00:39:47
orbit plot

NeinteraktivnĂ­ graf | InteraktivnĂ­ graf

position vs time
speed and acceleration