🇳🇴 🇬🇧 🇩🇪 🇨🇿 🇫🇮

Meteor Spetalenin yllä 2025-05-03 00:39:47 UTC

KML-tiedosto  |  Interaktiivinen kartta

Kartta näyttää meteorin suuntahavainnot. Vaaleammat viivat näyttävät suunnat havaintoasemilta meteorin ilmestyessä, ja tummemmat viivat näyttävät, missä se viimeksi nähtiin. Sininen nuoli näyttää meteorin näkyvän lennon.

static map
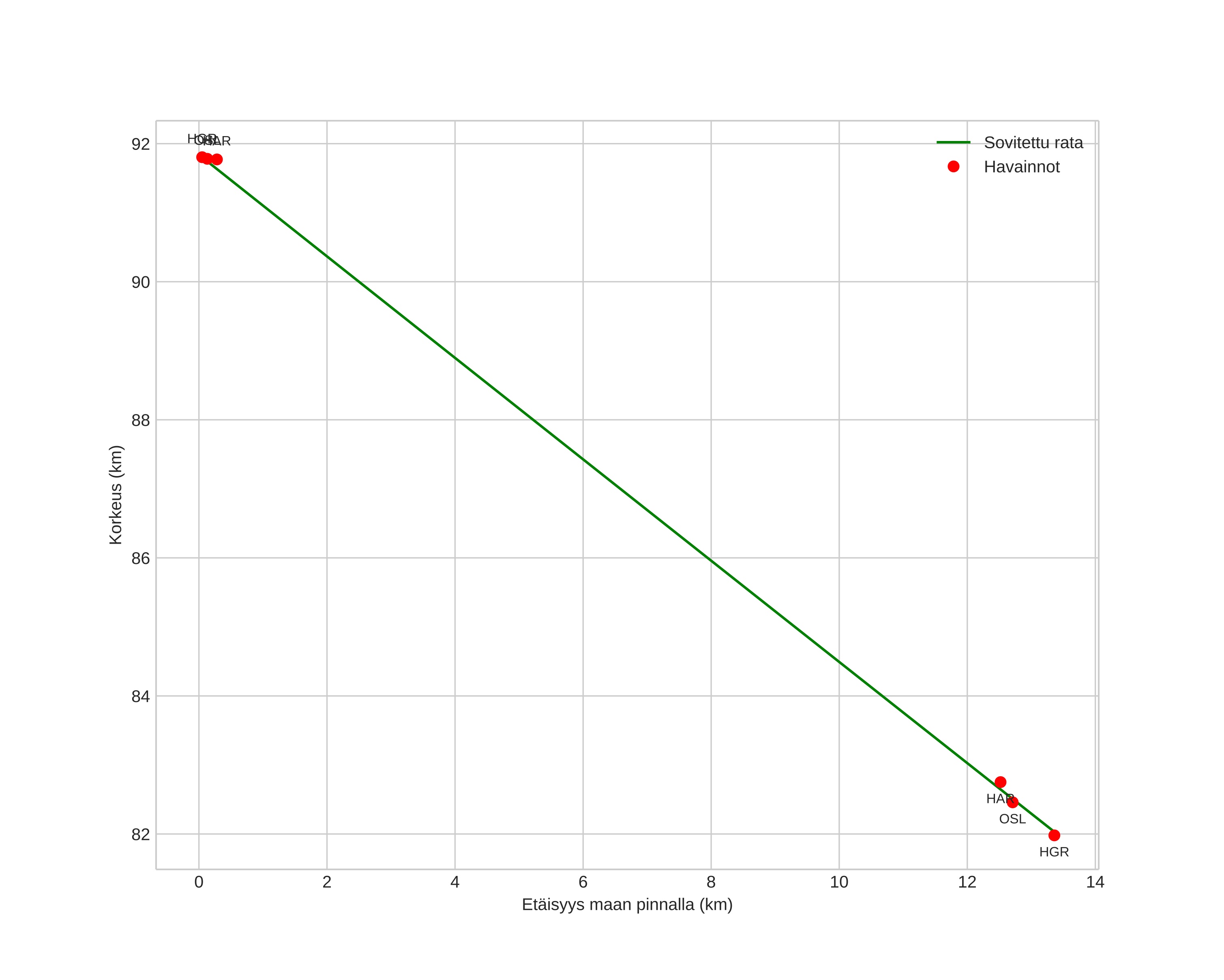
height profile
Meteorin ilmakehärata:
Alkukorkeus: 93,5 km
Loppukorkeus: 82,0 km
Alkupiste: 60,197N 11,741E
Loppupiste: 60,305N 11,921E
Suunta: 39,7°
Kallistuskulma: 36,5°
Tulonopeus: 20,2 km/s
Radiantin R,A,: 13:54 (208,6°)
Radiantin Dekl,: 7,2°
Meteoriparvi: Sporadinen
Meteoroidin rataelementit:
Perihelietäisyys: 0,822 AU
Eksentrisyys: 0,719
Inklinaatio: 8,5°
Nousevan solmun pituus: 42,5°
Perihelin argumentti: 236,1°
Keskianomalia: 352,7°
Epookki: 2025 MAY 03 00:39:47
orbit plot

Ei-interaktiivinen kuvaaja | Interaktiivinen kuvaaja

position vs time
speed and acceleration