🇳🇴 🇬🇧 🇩🇪 🇨🇿 🇫🇮

Meteor, poloha: Bruflat 2025-05-04 00:18:14 UTC

Soubor KML  |  InteraktivnĂ­ mapa

Mapa zobrazuje dráhy meteoru. Světlejší čáry ukazují směry od pozorovacích stanic při objevení se meteoru a tmavší čáry, kde byl naposledy viděn. Modrá šipka značí viditelnou dráhu meteoru.

static map
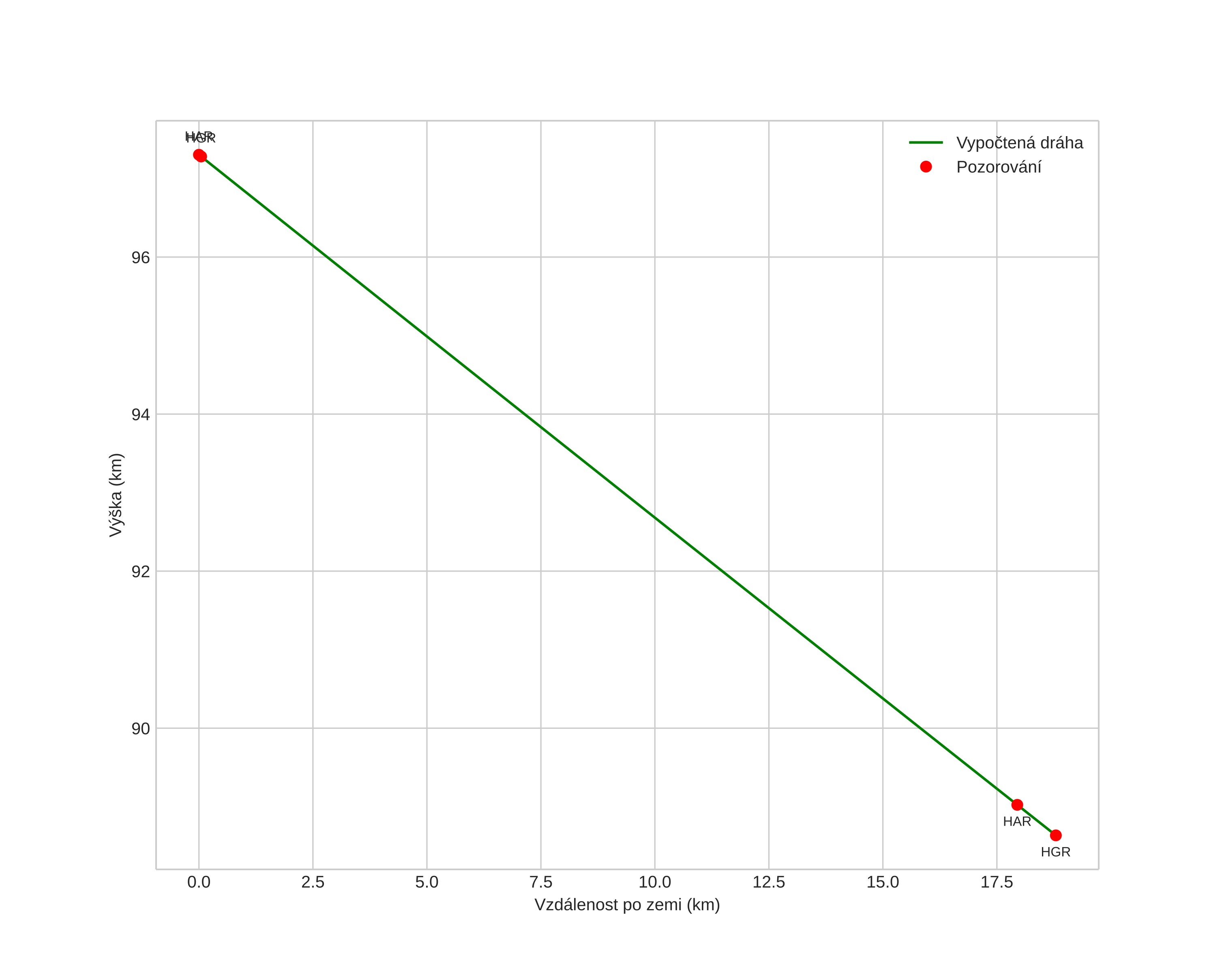
height profile
Atmosférická dráha meteoru:
Počáteční výška: 96,8 km
Konečná výška: 87,9 km
Počáteční poloha: 61,032N 9,743E
Konečná poloha: 61,196N 9,843E
Směr: 16,3°
Sklon: 25,1°
VstupnĂ­ rychlost: 22,9 km/s
Rektascenze radiantu: 14:40 (220,0°)
Deklinace radiantu: -7,5°
MeteorickĂ˝ roj: sporadickĂ˝
Elementy dráhy meteoroidu:
Vzdálenost v periheliu: 0,647 AU
Excentricita: 0,686
Sklon dráhy: 5,0°
Délka vzestupného uzlu: 43,5°
Argument perihelia: 263,2°
Střední anomálie: 344,4°
Epocha: 2025 MAY 04 00:18:14
orbit plot

NeinteraktivnĂ­ graf | InteraktivnĂ­ graf

position vs time
speed and acceleration