🇳🇴 🇬🇧 🇩🇪 🇨🇿 🇫🇮

Meteor Bruflatin yllä 2025-05-04 00:18:14 UTC

KML-tiedosto  |  Interaktiivinen kartta

Kartta näyttää meteorin suuntahavainnot. Vaaleammat viivat näyttävät suunnat havaintoasemilta meteorin ilmestyessä, ja tummemmat viivat näyttävät, missä se viimeksi nähtiin. Sininen nuoli näyttää meteorin näkyvän lennon.

static map
height profile
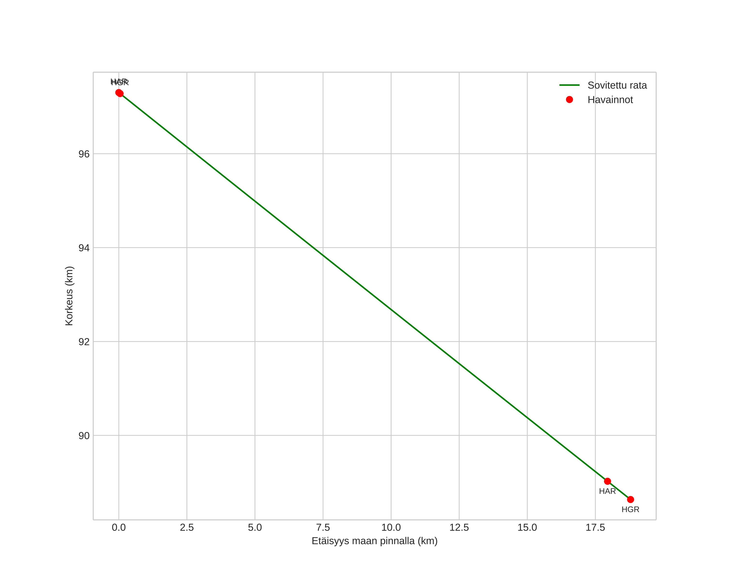
Meteorin ilmakehärata:
Alkukorkeus: 96,8 km
Loppukorkeus: 87,9 km
Alkupiste: 61,032N 9,743E
Loppupiste: 61,196N 9,843E
Suunta: 16,3°
Kallistuskulma: 25,1°
Tulonopeus: 22,9 km/s
Radiantin R,A,: 14:40 (220,0°)
Radiantin Dekl,: -7,5°
Meteoriparvi: Sporadinen
Meteoroidin rataelementit:
Perihelietäisyys: 0,647 AU
Eksentrisyys: 0,686
Inklinaatio: 5,0°
Nousevan solmun pituus: 43,5°
Perihelin argumentti: 263,2°
Keskianomalia: 344,4°
Epookki: 2025 MAY 04 00:18:14
orbit plot

Ei-interaktiivinen kuvaaja | Interaktiivinen kuvaaja

position vs time
speed and acceleration