🇳🇴 🇬🇧 🇩🇪 🇨🇿 🇫🇮

Meteor, poloha: Innbygda 2025-05-04 00:42:08 UTC

Soubor KML  |  InteraktivnĂ­ mapa

Mapa zobrazuje dráhy meteoru. Světlejší čáry ukazují směry od pozorovacích stanic při objevení se meteoru a tmavší čáry, kde byl naposledy viděn. Modrá šipka značí viditelnou dráhu meteoru.

static map
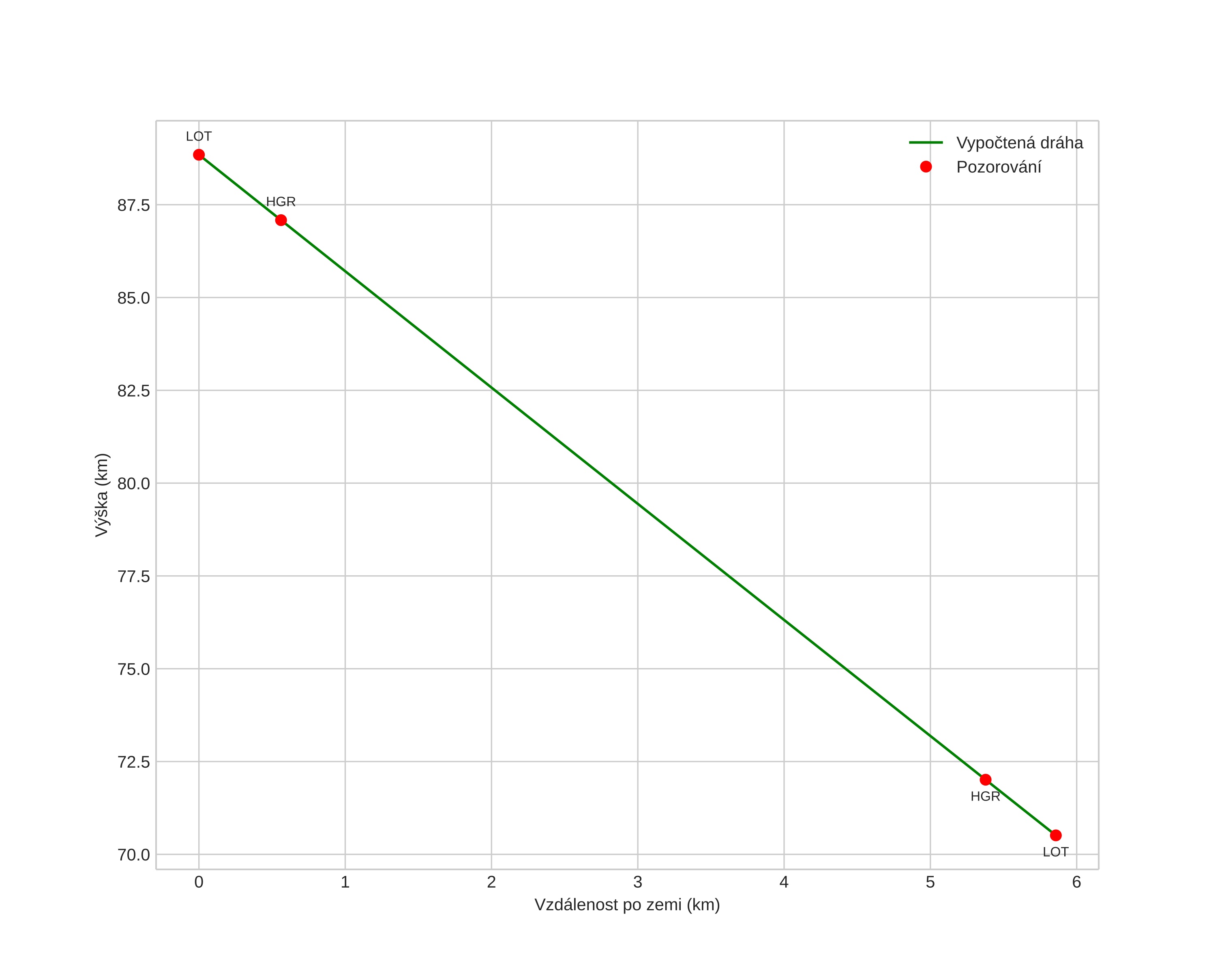
height profile
Atmosférická dráha meteoru:
Počáteční výška: 89,2 km
Konečná výška: 70,9 km
Počáteční poloha: 60,871N 12,421E
Konečná poloha: 60,900N 12,515E
Směr: 57,1°
Sklon: 71,6°
VstupnĂ­ rychlost: 19,8 km/s
Rektascenze radiantu: 14:35 (219,0°)
Deklinace radiantu: 46,6°
MeteorickĂ˝ roj: sporadickĂ˝
Elementy dráhy meteoroidu:
Vzdálenost v periheliu: 0,961 AU
Excentricita: 0,632
Sklon dráhy: 21,9°
Délka vzestupného uzlu: 43,5°
Argument perihelia: 208,6°
Střední anomálie: 354,8°
Epocha: 2025 MAY 04 00:42:08
orbit plot

NeinteraktivnĂ­ graf | InteraktivnĂ­ graf

position vs time
speed and acceleration