🇳🇴 🇬🇧 🇩🇪 🇨🇿 🇫🇮

Meteor Innbygdan yllä 2025-05-04 00:42:08 UTC

KML-tiedosto  |  Interaktiivinen kartta

Kartta näyttää meteorin suuntahavainnot. Vaaleammat viivat näyttävät suunnat havaintoasemilta meteorin ilmestyessä, ja tummemmat viivat näyttävät, missä se viimeksi nähtiin. Sininen nuoli näyttää meteorin näkyvän lennon.

static map
height profile
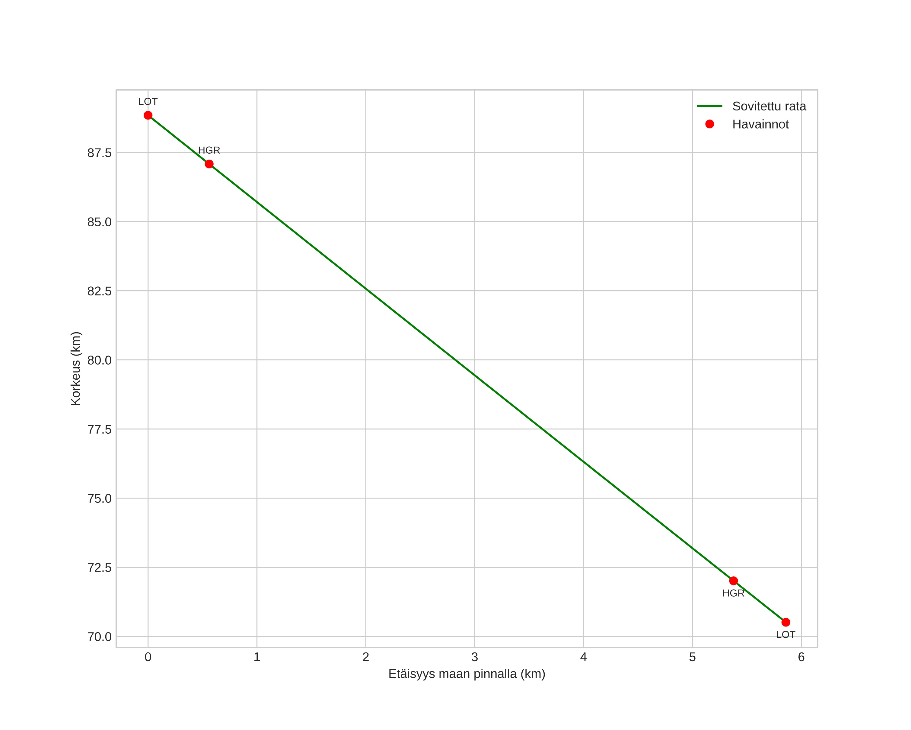
Meteorin ilmakehärata:
Alkukorkeus: 89,2 km
Loppukorkeus: 70,9 km
Alkupiste: 60,871N 12,421E
Loppupiste: 60,900N 12,515E
Suunta: 57,1°
Kallistuskulma: 71,6°
Tulonopeus: 19,8 km/s
Radiantin R,A,: 14:35 (219,0°)
Radiantin Dekl,: 46,6°
Meteoriparvi: Sporadinen
Meteoroidin rataelementit:
Perihelietäisyys: 0,961 AU
Eksentrisyys: 0,632
Inklinaatio: 21,9°
Nousevan solmun pituus: 43,5°
Perihelin argumentti: 208,6°
Keskianomalia: 354,8°
Epookki: 2025 MAY 04 00:42:08
orbit plot

Ei-interaktiivinen kuvaaja | Interaktiivinen kuvaaja

position vs time
speed and acceleration