🇳🇴 🇬🇧 🇩🇪 🇨🇿 🇫🇮

Meteor, poloha: Bjørkelangen 2025-05-04 23:28:41 UTC

Soubor KML  |  InteraktivnĂ­ mapa

Mapa zobrazuje dráhy meteoru. Světlejší čáry ukazují směry od pozorovacích stanic při objevení se meteoru a tmavší čáry, kde byl naposledy viděn. Modrá šipka značí viditelnou dráhu meteoru.

static map
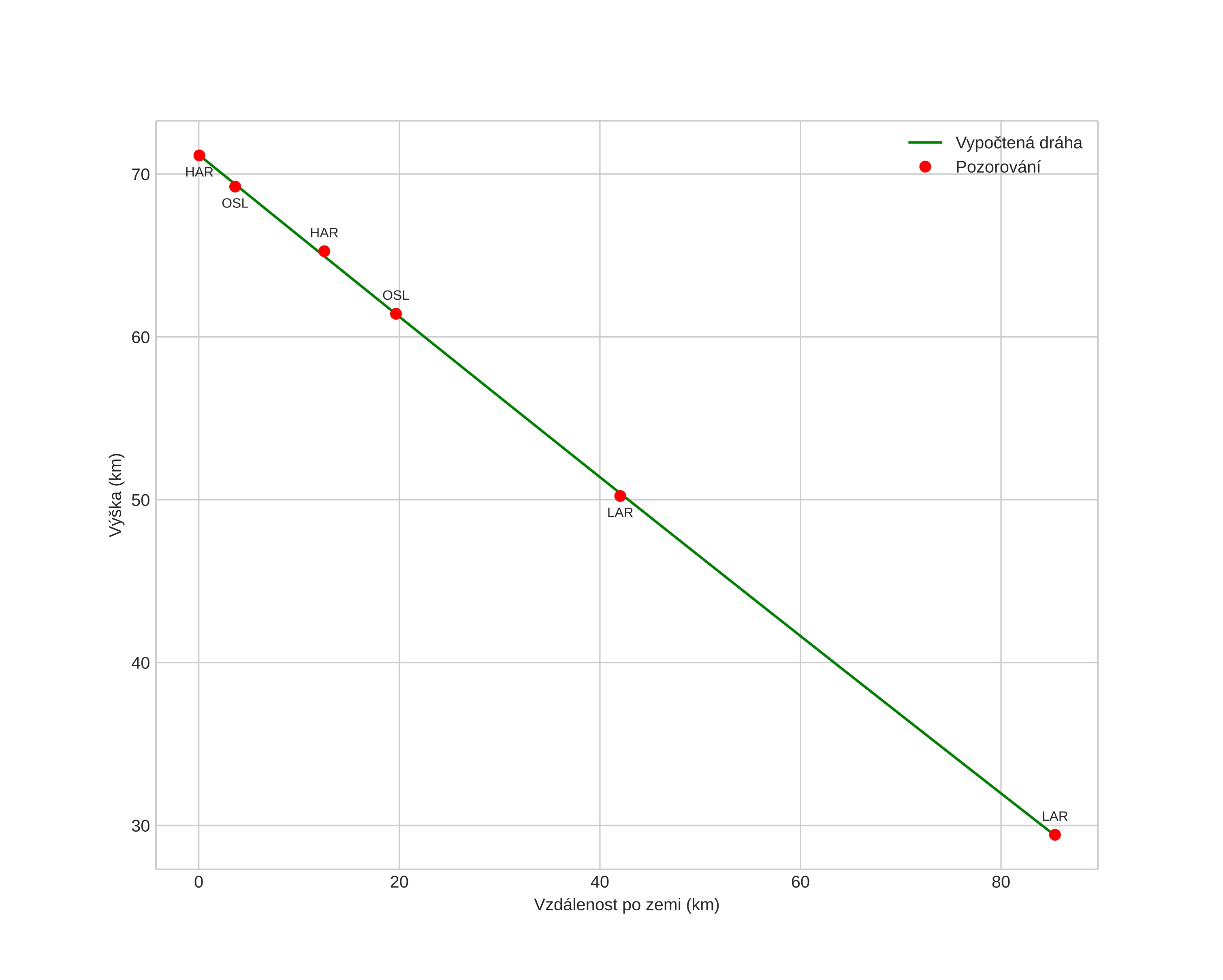
height profile
Atmosférická dráha meteoru:
Počáteční výška: 95,3 km
Konečná výška: 81,0 km
Počáteční poloha: 59,519N 11,565E
Konečná poloha: 59,805N 11,572E
Směr: 0,7°
Sklon: 24,2°
VstupnĂ­ rychlost: 24,4 km/s
Rektascenze radiantu: 15:00 (225,1°)
Deklinace radiantu: -10,5°
MeteorickĂ˝ roj: sporadickĂ˝
Elementy dráhy meteoroidu:
Vzdálenost v periheliu: 0,571 AU
Excentricita: 0,704
Sklon dráhy: 4,7°
Délka vzestupného uzlu: 44,4°
Argument perihelia: 272,9°
Střední anomálie: 342,3°
Epocha: 2025 MAY 04 23:28:41
orbit plot

NeinteraktivnĂ­ graf | InteraktivnĂ­ graf

position vs time
speed and acceleration