🇳🇴 🇬🇧 🇩🇪 🇨🇿 🇫🇮

Meteor Bjørkelangenin yllä 2025-05-04 23:28:41 UTC

KML-tiedosto  |  Interaktiivinen kartta

Kartta näyttää meteorin suuntahavainnot. Vaaleammat viivat näyttävät suunnat havaintoasemilta meteorin ilmestyessä, ja tummemmat viivat näyttävät, missä se viimeksi nähtiin. Sininen nuoli näyttää meteorin näkyvän lennon.

static map
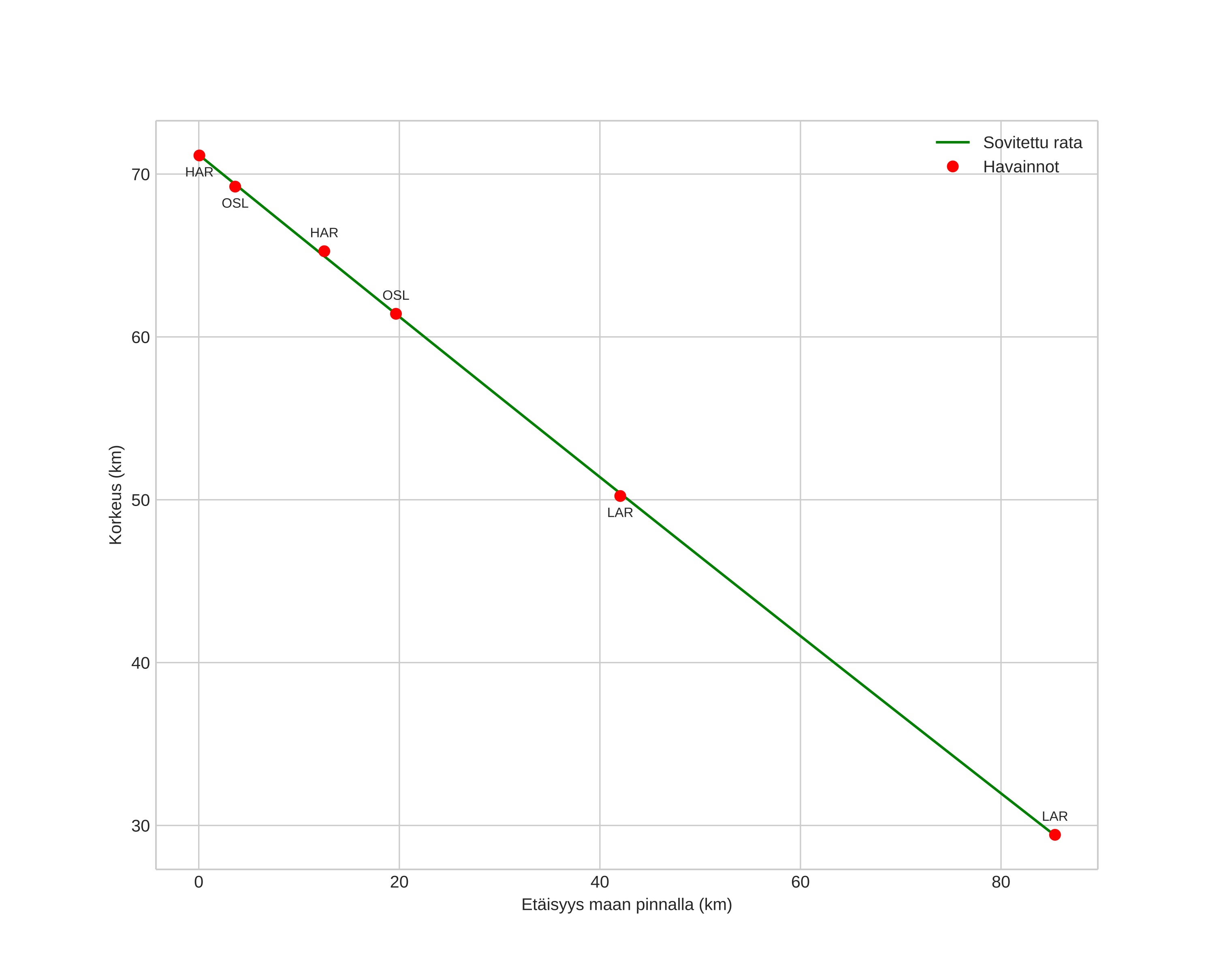
height profile
Meteorin ilmakehärata:
Alkukorkeus: 95,3 km
Loppukorkeus: 81,0 km
Alkupiste: 59,519N 11,565E
Loppupiste: 59,805N 11,572E
Suunta: 0,7°
Kallistuskulma: 24,2°
Tulonopeus: 24,4 km/s
Radiantin R,A,: 15:00 (225,1°)
Radiantin Dekl,: -10,5°
Meteoriparvi: Sporadinen
Meteoroidin rataelementit:
Perihelietäisyys: 0,571 AU
Eksentrisyys: 0,704
Inklinaatio: 4,7°
Nousevan solmun pituus: 44,4°
Perihelin argumentti: 272,9°
Keskianomalia: 342,3°
Epookki: 2025 MAY 04 23:28:41
orbit plot

Ei-interaktiivinen kuvaaja | Interaktiivinen kuvaaja

position vs time
speed and acceleration