🇳🇴 🇬🇧 🇩🇪 🇨🇿 🇫🇮

Meteor, poloha: Risør 2025-05-05 00:16:14 UTC

Soubor KML  |  InteraktivnĂ­ mapa

Mapa zobrazuje dráhy meteoru. Světlejší čáry ukazují směry od pozorovacích stanic při objevení se meteoru a tmavší čáry, kde byl naposledy viděn. Modrá šipka značí viditelnou dráhu meteoru.

static map
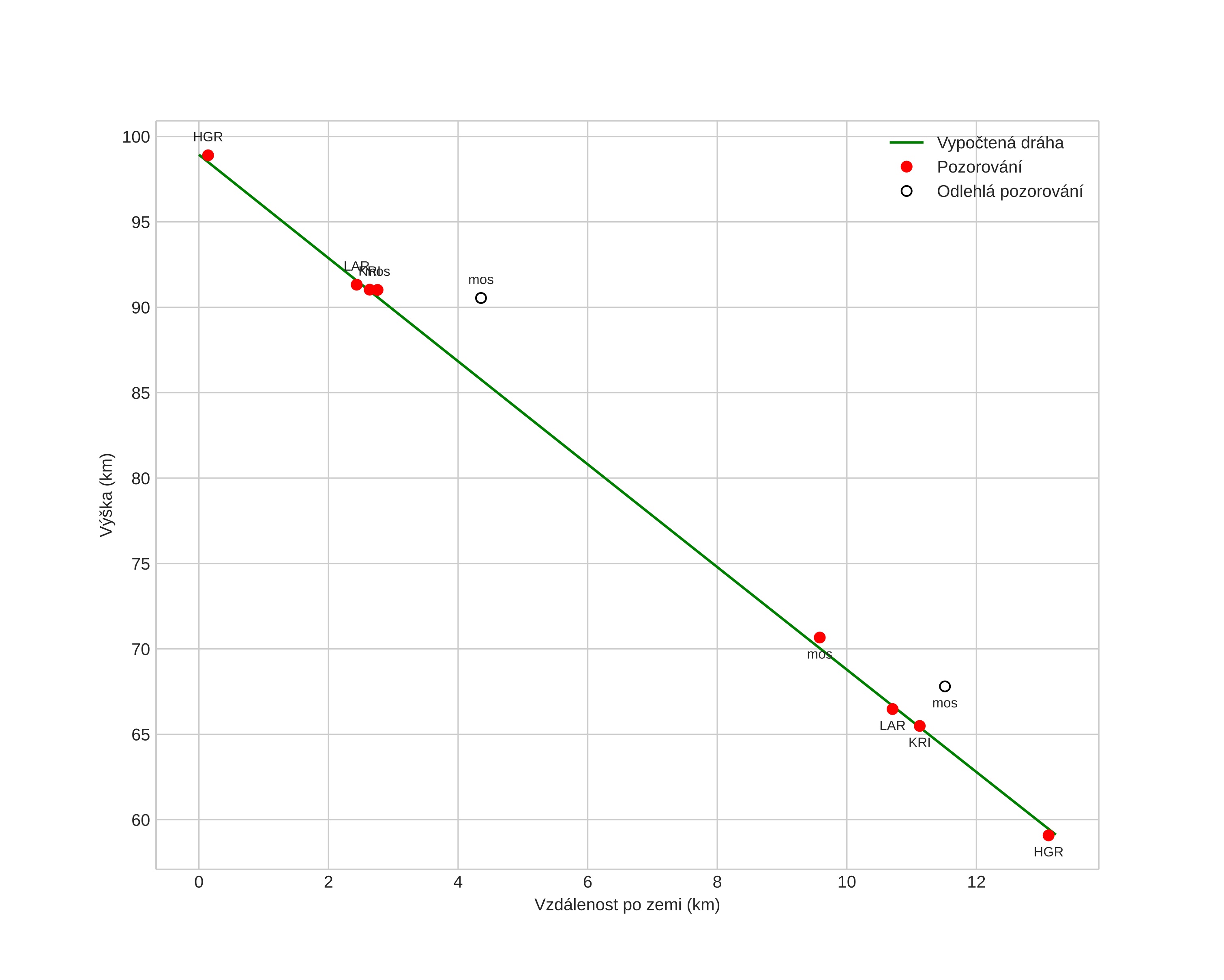
height profile
Atmosférická dráha meteoru:
Počáteční výška: 92,3 km
Konečná výška: 65,4 km
Počáteční poloha: 58,453N 9,623E
Konečná poloha: 58,411N 9,496E
Směr: 237,6°
Sklon: 72,0°
VstupnĂ­ rychlost: 33,2 km/s
Rektascenze radiantu: 18:12 (273,2°)
Deklinace radiantu: 63,9°
MeteorickĂ˝ roj: sporadickĂ˝
Elementy dráhy meteoroidu:
Vzdálenost v periheliu: 1,008 AU
Excentricita: 0,996
Sklon dráhy: 48,1°
Délka vzestupného uzlu: 44,4°
Argument perihelia: 180,1°
Střední anomálie: 360,0°
Epocha: 2025 MAY 05 00:16:14
orbit plot

NeinteraktivnĂ­ graf | InteraktivnĂ­ graf

position vs time
speed and acceleration