🇳🇴 🇬🇧 🇩🇪 🇨🇿 🇫🇮

Meteor Risørin yllä 2025-05-05 00:16:14 UTC

KML-tiedosto  |  Interaktiivinen kartta

Kartta näyttää meteorin suuntahavainnot. Vaaleammat viivat näyttävät suunnat havaintoasemilta meteorin ilmestyessä, ja tummemmat viivat näyttävät, missä se viimeksi nähtiin. Sininen nuoli näyttää meteorin näkyvän lennon.

static map
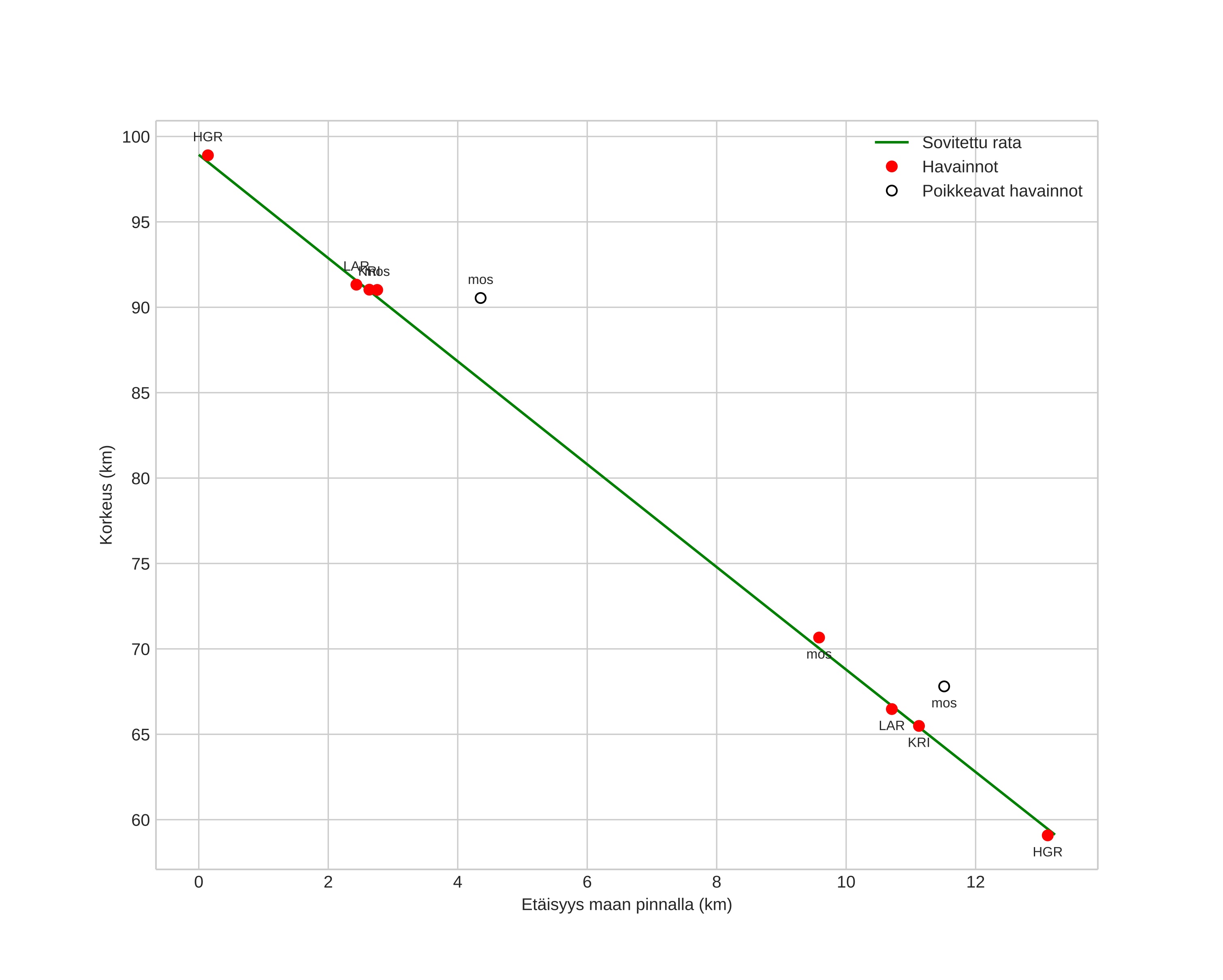
height profile
Meteorin ilmakehärata:
Alkukorkeus: 92,3 km
Loppukorkeus: 65,4 km
Alkupiste: 58,453N 9,623E
Loppupiste: 58,411N 9,496E
Suunta: 237,6°
Kallistuskulma: 72,0°
Tulonopeus: 33,2 km/s
Radiantin R,A,: 18:12 (273,2°)
Radiantin Dekl,: 63,9°
Meteoriparvi: Sporadinen
Meteoroidin rataelementit:
Perihelietäisyys: 1,008 AU
Eksentrisyys: 0,996
Inklinaatio: 48,1°
Nousevan solmun pituus: 44,4°
Perihelin argumentti: 180,1°
Keskianomalia: 360,0°
Epookki: 2025 MAY 05 00:16:14
orbit plot

Ei-interaktiivinen kuvaaja | Interaktiivinen kuvaaja

position vs time
speed and acceleration