🇳🇴 🇬🇧 🇩🇪 🇨🇿 🇫🇮

Meteor, poloha: SkĂĄre 2025-05-05 22:15:06 UTC

Soubor KML  |  InteraktivnĂ­ mapa

Mapa zobrazuje dráhy meteoru. Světlejší čáry ukazují směry od pozorovacích stanic při objevení se meteoru a tmavší čáry, kde byl naposledy viděn. Modrá šipka značí viditelnou dráhu meteoru.

static map
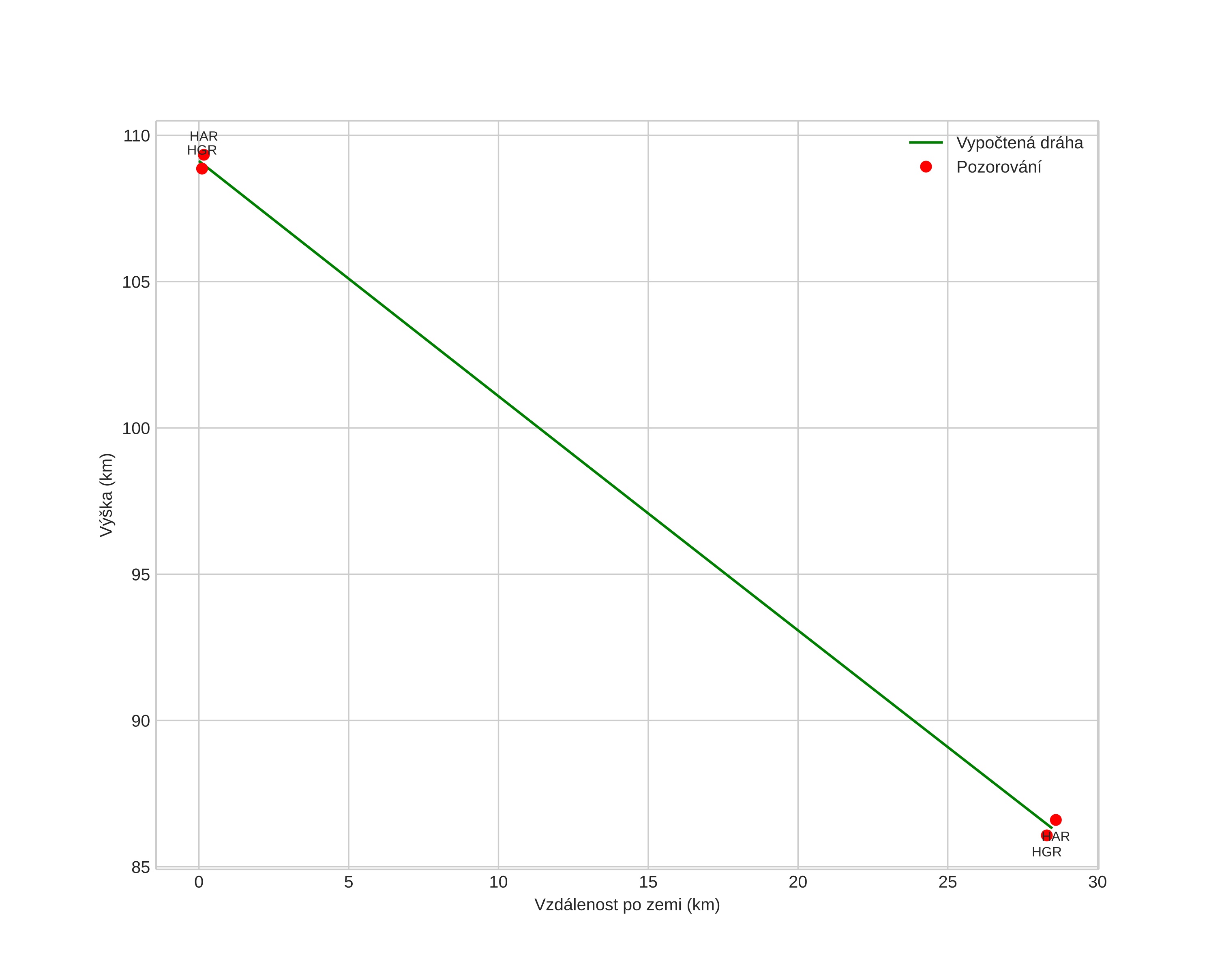
height profile
Atmosférická dráha meteoru:
Počáteční výška: 95,7 km
Konečná výška: 83,9 km
Počáteční poloha: 59,589N 13,556E
Konečná poloha: 59,373N 13,406E
Směr: 199,5°
Sklon: 24,9°
VstupnĂ­ rychlost: 37,3 km/s
Rektascenze radiantu: 00:08 (2,1°)
Deklinace radiantu: 51,1°
MeteorickĂ˝ roj: sporadickĂ˝
Elementy dráhy meteoroidu:
Vzdálenost v periheliu: 0,649 AU
Excentricita: 0,961
Sklon dráhy: 48,8°
Délka vzestupného uzlu: 45,3°
Argument perihelia: 105,7°
Střední anomálie: 0,6°
Epocha: 2025 MAY 05 22:15:06
orbit plot

NeinteraktivnĂ­ graf | InteraktivnĂ­ graf

position vs time
speed and acceleration