🇳🇴 🇬🇧 🇩🇪 🇨🇿 🇫🇮

Meteor Skåren yllä 2025-05-05 22:15:06 UTC

KML-tiedosto  |  Interaktiivinen kartta

Kartta näyttää meteorin suuntahavainnot. Vaaleammat viivat näyttävät suunnat havaintoasemilta meteorin ilmestyessä, ja tummemmat viivat näyttävät, missä se viimeksi nähtiin. Sininen nuoli näyttää meteorin näkyvän lennon.

static map
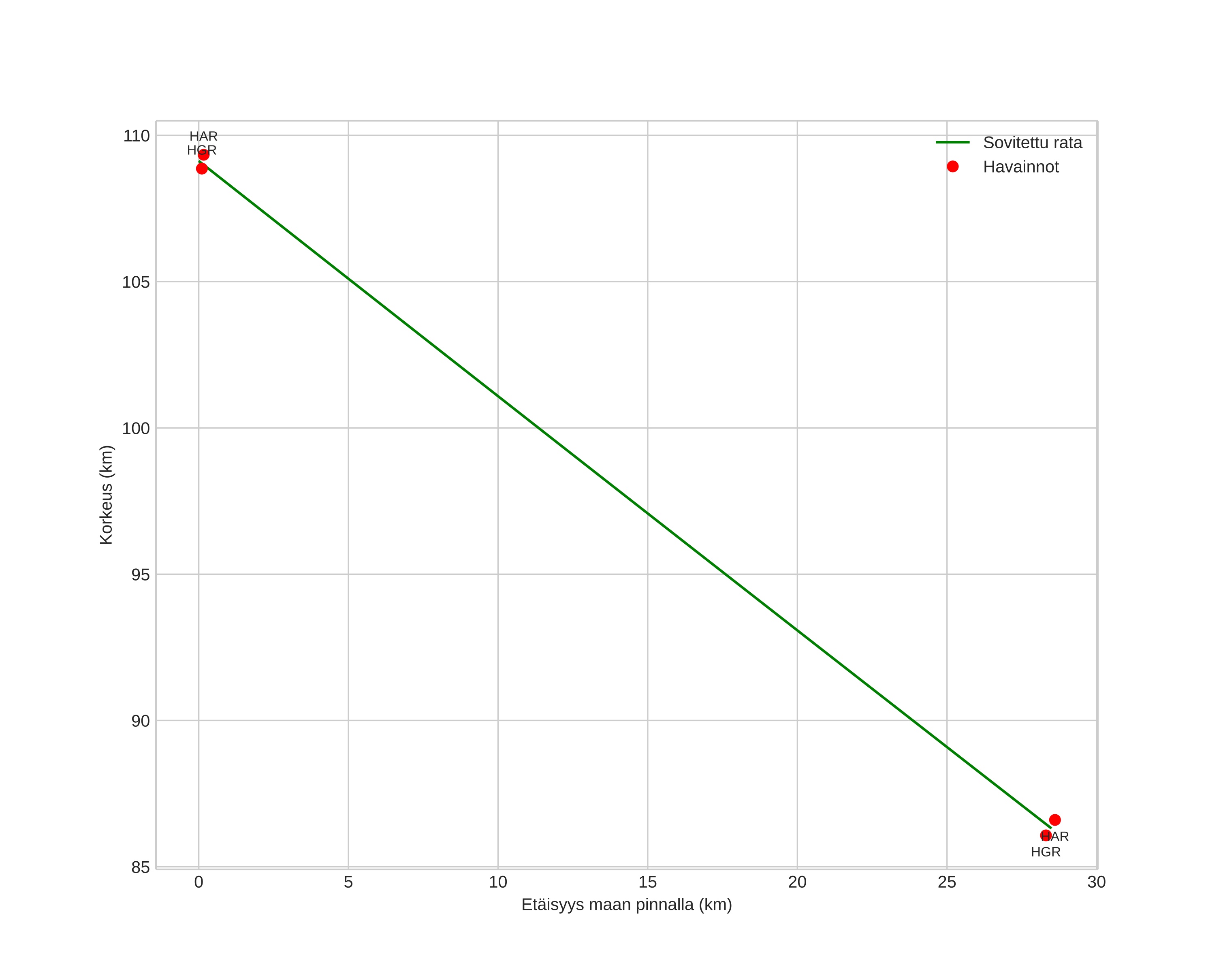
height profile
Meteorin ilmakehärata:
Alkukorkeus: 95,7 km
Loppukorkeus: 83,9 km
Alkupiste: 59,589N 13,556E
Loppupiste: 59,373N 13,406E
Suunta: 199,5°
Kallistuskulma: 24,9°
Tulonopeus: 37,3 km/s
Radiantin R,A,: 00:08 (2,1°)
Radiantin Dekl,: 51,1°
Meteoriparvi: Sporadinen
Meteoroidin rataelementit:
Perihelietäisyys: 0,649 AU
Eksentrisyys: 0,961
Inklinaatio: 48,8°
Nousevan solmun pituus: 45,3°
Perihelin argumentti: 105,7°
Keskianomalia: 0,6°
Epookki: 2025 MAY 05 22:15:06
orbit plot

Ei-interaktiivinen kuvaaja | Interaktiivinen kuvaaja

position vs time
speed and acceleration