🇳🇴 🇬🇧 🇩🇪 🇨🇿 🇫🇮

Meteor, poloha: Rotnes 2025-05-13 23:41:57 UTC

Soubor KML  |  InteraktivnĂ­ mapa

Mapa zobrazuje dráhy meteoru. Světlejší čáry ukazují směry od pozorovacích stanic při objevení se meteoru a tmavší čáry, kde byl naposledy viděn. Modrá šipka značí viditelnou dráhu meteoru.

static map
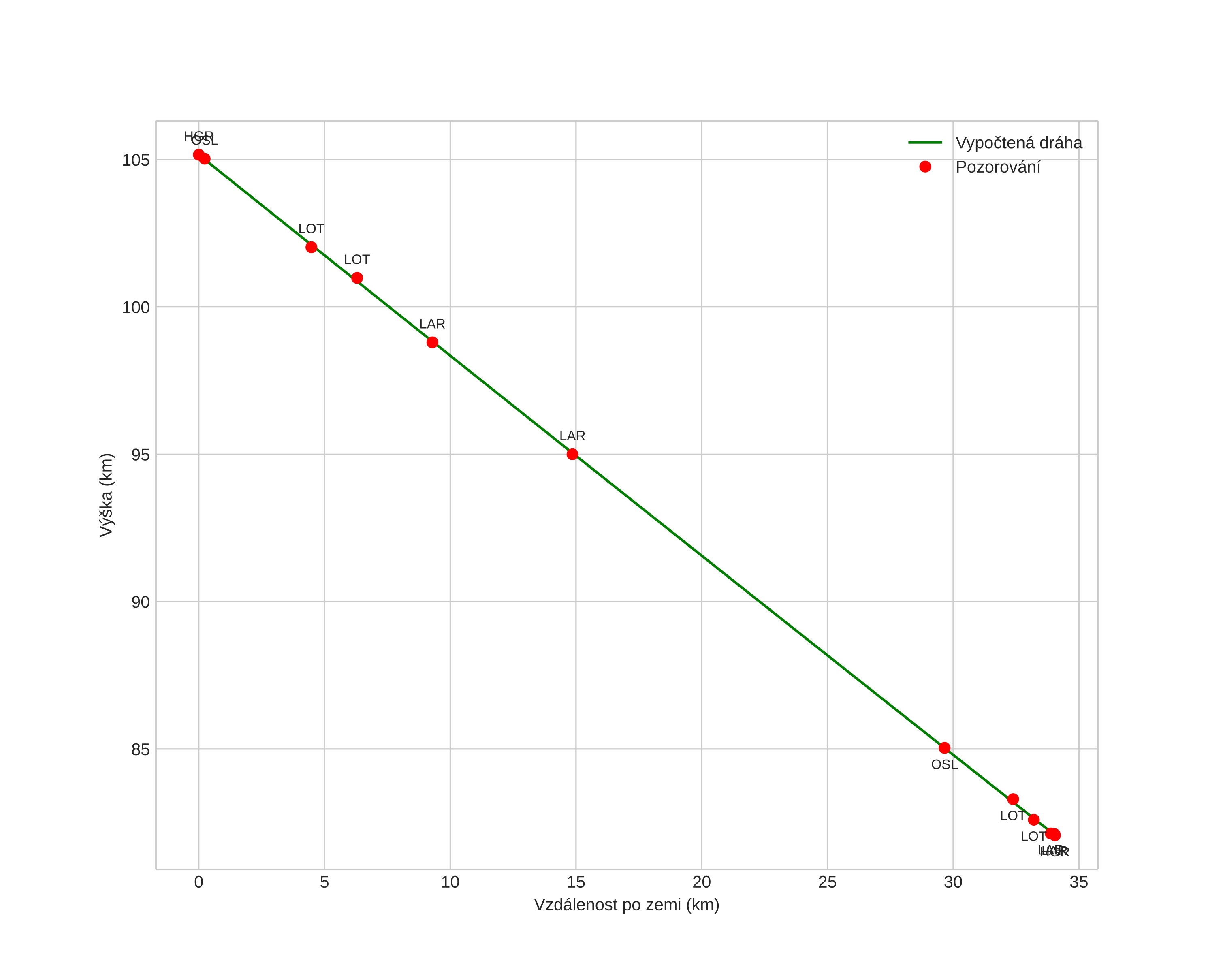
height profile
Atmosférická dráha meteoru:
Počáteční výška: 105,1 km
Konečná výška: 81,8 km
Počáteční poloha: 59,767N 11,024E
Konečná poloha: 60,064N 10,850E
Směr: 343,7°
Sklon: 34,1°
VstupnĂ­ rychlost: 35,8 km/s
Rektascenze radiantu: 16:45 (251,4°)
Deklinace radiantu: 3,3°
MeteorickĂ˝ roj: sporadickĂ˝
Elementy dráhy meteoroidu:
Vzdálenost v periheliu: 0,396 AU
Excentricita: 0,884
Sklon dráhy: 35,0°
Délka vzestupného uzlu: 53,1°
Argument perihelia: 287,2°
Střední anomálie: 353,4°
Epocha: 2025 MAY 13 23:41:57
orbit plot

NeinteraktivnĂ­ graf | InteraktivnĂ­ graf

position vs time
speed and acceleration