🇳🇴 🇬🇧 🇩🇪 🇨🇿 🇫🇮

Meteor Rotnesin yllä 2025-05-13 23:41:57 UTC

KML-tiedosto  |  Interaktiivinen kartta

Kartta näyttää meteorin suuntahavainnot. Vaaleammat viivat näyttävät suunnat havaintoasemilta meteorin ilmestyessä, ja tummemmat viivat näyttävät, missä se viimeksi nähtiin. Sininen nuoli näyttää meteorin näkyvän lennon.

static map
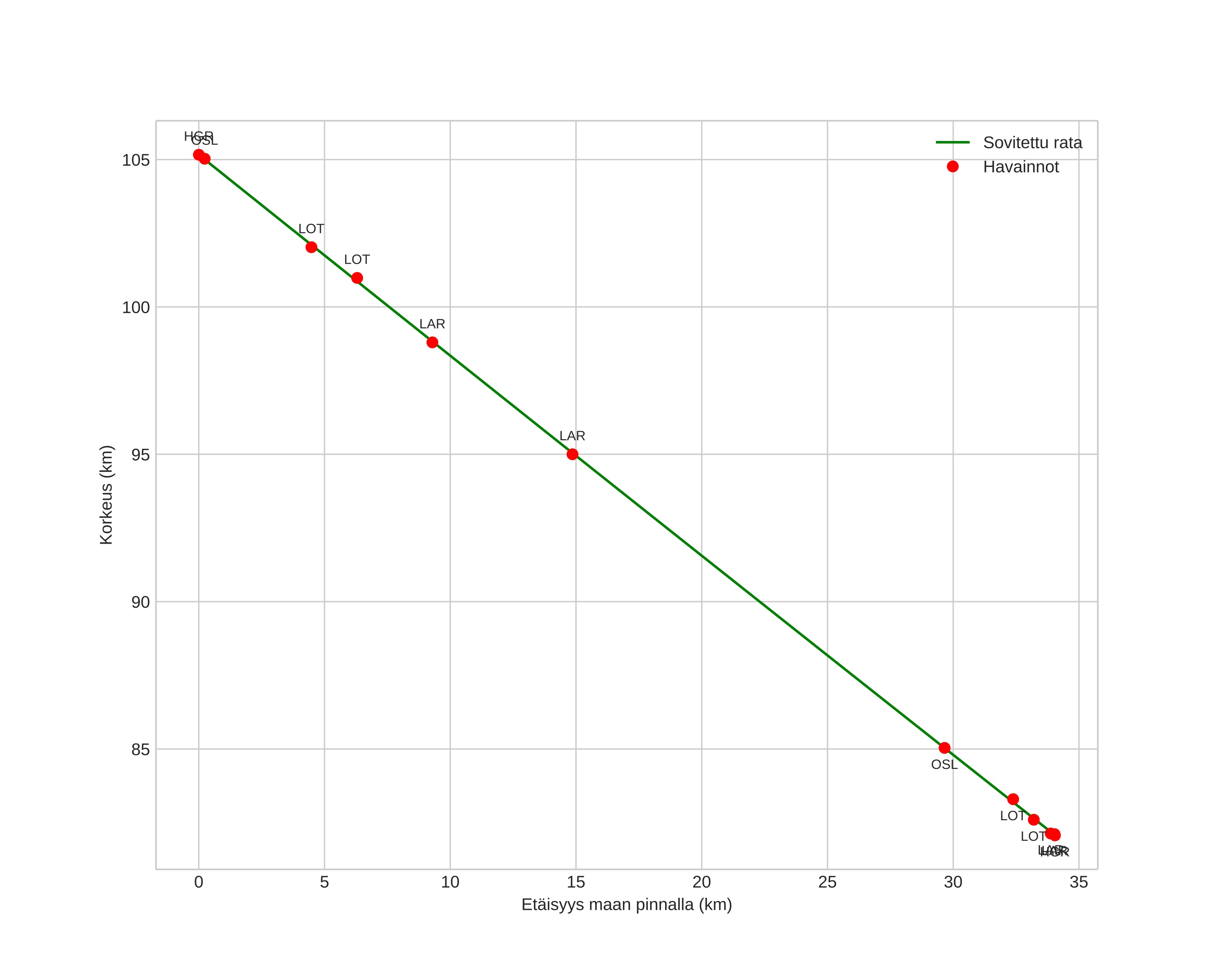
height profile
Meteorin ilmakehärata:
Alkukorkeus: 105,1 km
Loppukorkeus: 81,8 km
Alkupiste: 59,767N 11,024E
Loppupiste: 60,064N 10,850E
Suunta: 343,7°
Kallistuskulma: 34,1°
Tulonopeus: 35,8 km/s
Radiantin R,A,: 16:45 (251,4°)
Radiantin Dekl,: 3,3°
Meteoriparvi: Sporadinen
Meteoroidin rataelementit:
Perihelietäisyys: 0,396 AU
Eksentrisyys: 0,884
Inklinaatio: 35,0°
Nousevan solmun pituus: 53,1°
Perihelin argumentti: 287,2°
Keskianomalia: 353,4°
Epookki: 2025 MAY 13 23:41:57
orbit plot

Ei-interaktiivinen kuvaaja | Interaktiivinen kuvaaja

position vs time
speed and acceleration