🇳🇴 🇬🇧 🇩🇪 🇨🇿 🇫🇮

Meteor, poloha: Auli 2025-05-14 23:37:29 UTC

Soubor KML  |  InteraktivnĂ­ mapa

Mapa zobrazuje dráhy meteoru. Světlejší čáry ukazují směry od pozorovacích stanic při objevení se meteoru a tmavší čáry, kde byl naposledy viděn. Modrá šipka značí viditelnou dráhu meteoru.

static map
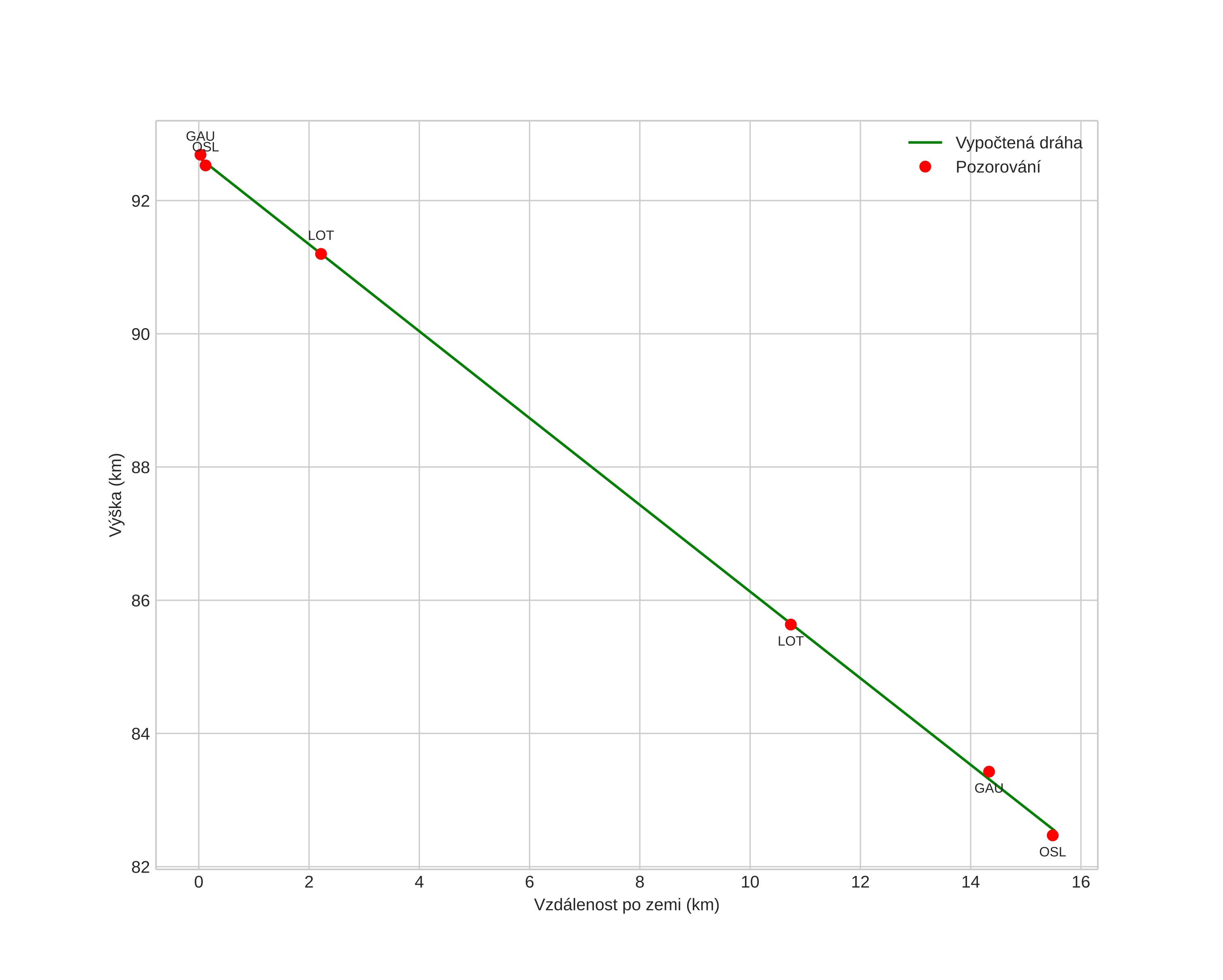
height profile
Atmosférická dráha meteoru:
Počáteční výška: 94,2 km
Konečná výška: 82,5 km
Počáteční poloha: 60,182N 11,396E
Konečná poloha: 60,021N 11,413E
Směr: 177,0°
Sklon: 33,2°
VstupnĂ­ rychlost: 17,2 km/s
Rektascenze radiantu: 04:17 (64,3°)
Deklinace radiantu: 54,6°
MeteorickĂ˝ roj: sporadickĂ˝
Elementy dráhy meteoroidu:
Vzdálenost v periheliu: 0,867 AU
Excentricita: 0,512
Sklon dráhy: 12,1°
Délka vzestupného uzlu: 54,1°
Argument perihelia: 125,4°
Střední anomálie: 16,9°
Epocha: 2025 MAY 14 23:37:29
orbit plot

NeinteraktivnĂ­ graf | InteraktivnĂ­ graf

position vs time
speed and acceleration