🇳🇴 🇬🇧 🇩🇪 🇨🇿 🇫🇮

Meteor Aulin yllä 2025-05-14 23:37:29 UTC

KML-tiedosto  |  Interaktiivinen kartta

Kartta näyttää meteorin suuntahavainnot. Vaaleammat viivat näyttävät suunnat havaintoasemilta meteorin ilmestyessä, ja tummemmat viivat näyttävät, missä se viimeksi nähtiin. Sininen nuoli näyttää meteorin näkyvän lennon.

static map
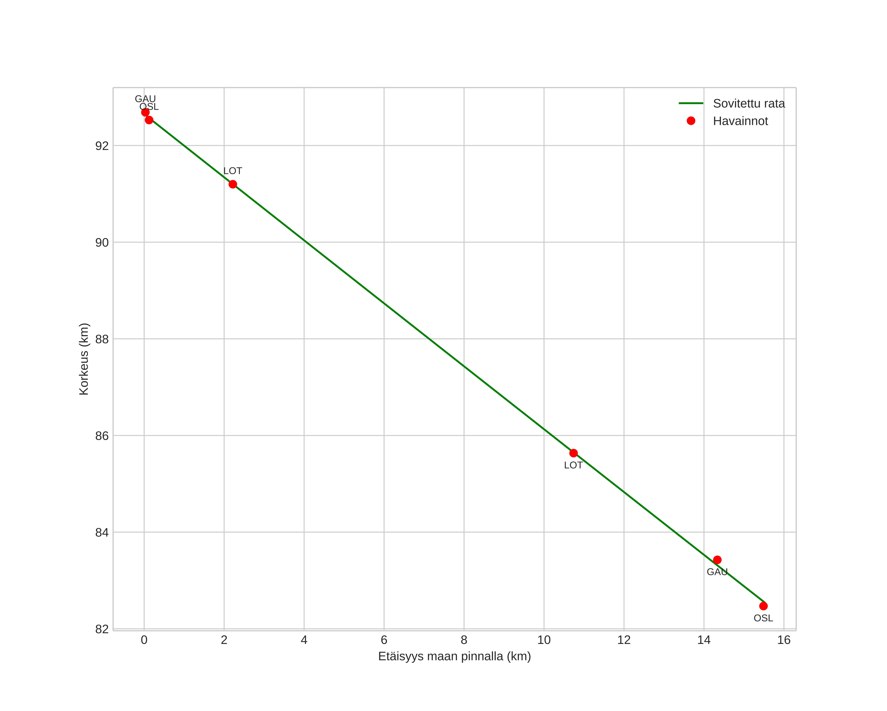
height profile
Meteorin ilmakehärata:
Alkukorkeus: 94,2 km
Loppukorkeus: 82,5 km
Alkupiste: 60,182N 11,396E
Loppupiste: 60,021N 11,413E
Suunta: 177,0°
Kallistuskulma: 33,2°
Tulonopeus: 17,2 km/s
Radiantin R,A,: 04:17 (64,3°)
Radiantin Dekl,: 54,6°
Meteoriparvi: Sporadinen
Meteoroidin rataelementit:
Perihelietäisyys: 0,867 AU
Eksentrisyys: 0,512
Inklinaatio: 12,1°
Nousevan solmun pituus: 54,1°
Perihelin argumentti: 125,4°
Keskianomalia: 16,9°
Epookki: 2025 MAY 14 23:37:29
orbit plot

Ei-interaktiivinen kuvaaja | Interaktiivinen kuvaaja

position vs time
speed and acceleration