🇳🇴 🇬🇧 🇩🇪 🇨🇿 🇫🇮

Meteor, poloha: BarkĂĄker 2025-05-16 23:42:30 UTC

Soubor KML  |  InteraktivnĂ­ mapa

Mapa zobrazuje dráhy meteoru. Světlejší čáry ukazují směry od pozorovacích stanic při objevení se meteoru a tmavší čáry, kde byl naposledy viděn. Modrá šipka značí viditelnou dráhu meteoru.

static map
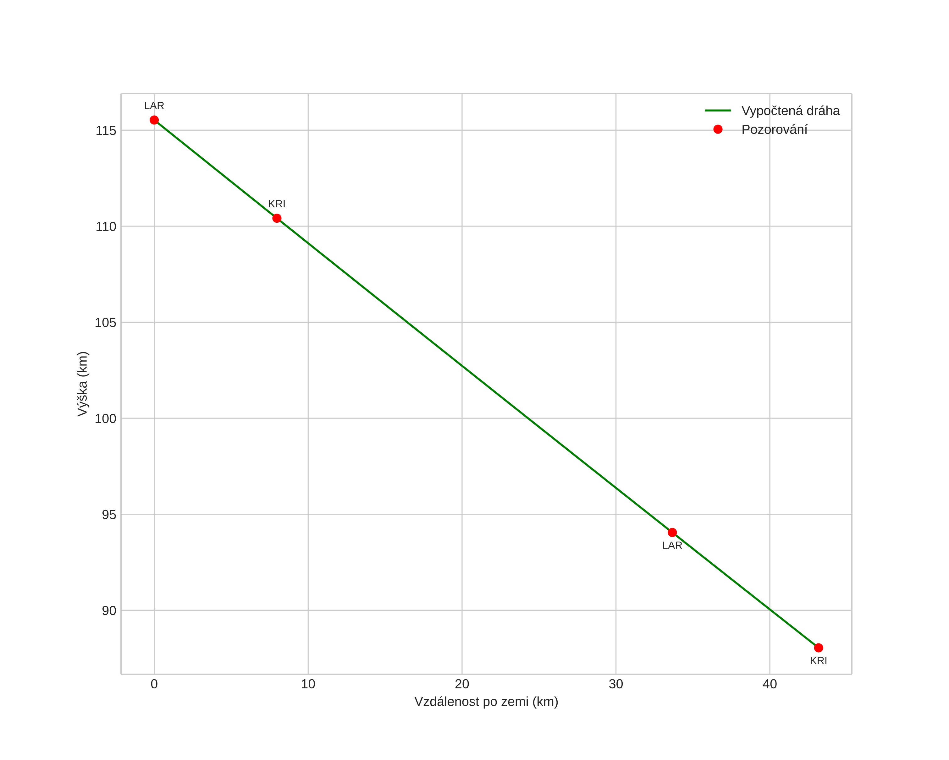
height profile
Atmosférická dráha meteoru:
Počáteční výška: 118,3 km
Konečná výška: 87,9 km
Počáteční poloha: 59,345N 11,216E
Konečná poloha: 59,325N 10,383E
Směr: 267,7°
Sklon: 32,7°
VstupnĂ­ rychlost: 47,9 km/s
Rektascenze radiantu: 21:02 (315,5°)
Deklinace radiantu: 28,1°
MeteorickĂ˝ roj: sporadickĂ˝
Elementy dráhy meteoroidu:
Vzdálenost v periheliu: 0,996 AU
Excentricita: 0,169
Sklon dráhy: 98,3°
Délka vzestupného uzlu: 56,0°
Argument perihelia: 153,3°
Střední anomálie: 18,9°
Epocha: 2025 MAY 16 23:42:30
orbit plot

NeinteraktivnĂ­ graf | InteraktivnĂ­ graf

position vs time
speed and acceleration