🇳🇴 🇬🇧 🇩🇪 🇨🇿 🇫🇮

Meteor Barkåkerin yllä 2025-05-16 23:42:30 UTC

KML-tiedosto  |  Interaktiivinen kartta

Kartta näyttää meteorin suuntahavainnot. Vaaleammat viivat näyttävät suunnat havaintoasemilta meteorin ilmestyessä, ja tummemmat viivat näyttävät, missä se viimeksi nähtiin. Sininen nuoli näyttää meteorin näkyvän lennon.

static map
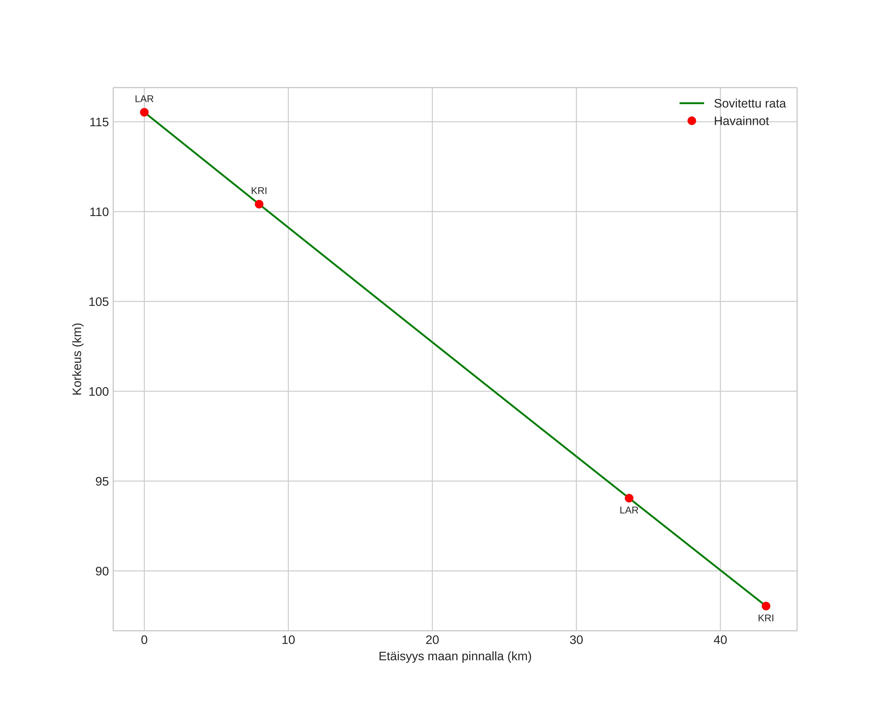
height profile
Meteorin ilmakehärata:
Alkukorkeus: 118,3 km
Loppukorkeus: 87,9 km
Alkupiste: 59,345N 11,216E
Loppupiste: 59,325N 10,383E
Suunta: 267,7°
Kallistuskulma: 32,7°
Tulonopeus: 47,9 km/s
Radiantin R,A,: 21:02 (315,5°)
Radiantin Dekl,: 28,1°
Meteoriparvi: Sporadinen
Meteoroidin rataelementit:
Perihelietäisyys: 0,996 AU
Eksentrisyys: 0,169
Inklinaatio: 98,3°
Nousevan solmun pituus: 56,0°
Perihelin argumentti: 153,3°
Keskianomalia: 18,9°
Epookki: 2025 MAY 16 23:42:30
orbit plot

Ei-interaktiivinen kuvaaja | Interaktiivinen kuvaaja

position vs time
speed and acceleration