🇳🇴 🇬🇧 🇩🇪 🇨🇿 🇫🇮

Meteor, poloha: Innbygda 2025-07-27 23:45:37 UTC

Soubor KML

Mapa zobrazuje dráhy meteoru. Světlejší čáry ukazují směry od pozorovacích stanic při objevení se meteoru a tmavší čáry, kde byl naposledy viděn. Modrá šipka značí viditelnou dráhu meteoru.

static map
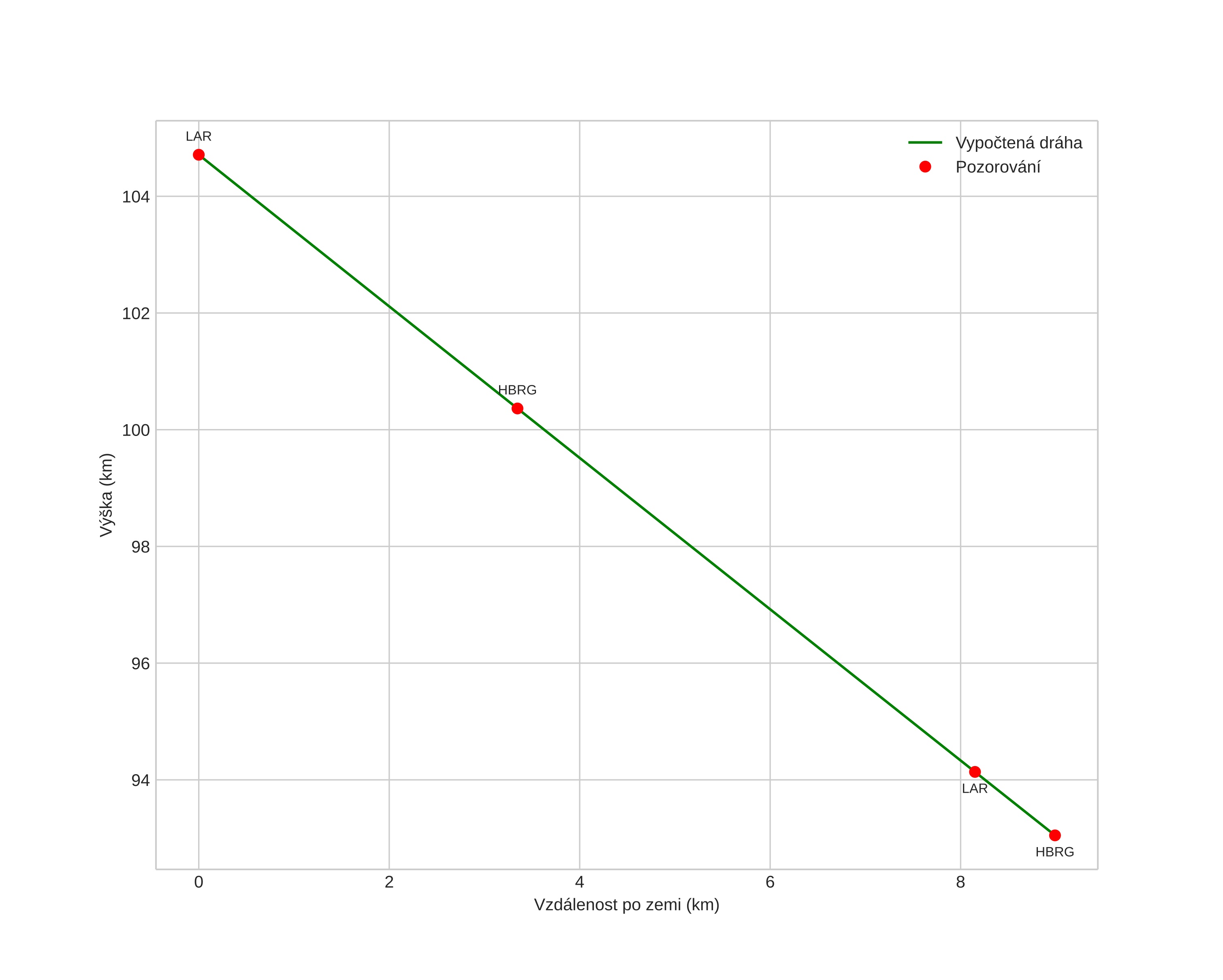
height profile
Atmosférická dráha meteoru:
Počáteční výška: 104,7 km
Konečná výška: 93,0 km
Počáteční poloha: 61,580N 12,959E
Konečná poloha: 61,563N 12,793E
Směr: 257,7°
Sklon: 52,5°
Vstupní rychlost: 65,7 km/s
Rektascenze radiantu: 01:23 (21,0°)
Deklinace radiantu: 49,1°
Meteorický roj: Perseidy
Elementy dráhy meteoroidu:
Vzdálenost v periheliu: 1,006 AU
Excentricita: 1,306
Sklon dráhy: 119,7°
Délka vzestupného uzlu: 124,8°
Argument perihelia: 169,6°
Střední anomálie: 1,2°
Epocha: 2025 JUL 27 23:45:37
orbit plot

Neinteraktivní graf

position vs time
speed and acceleration