🇳🇴 🇬🇧 🇩🇪 🇨🇿 🇫🇮

Meteor Innbygdan yllä 2025-07-27 23:45:37 UTC

KML-tiedosto  |  Interaktiivinen kartta

Kartta näyttää meteorin suuntahavainnot. Vaaleammat viivat näyttävät suunnat havaintoasemilta meteorin ilmestyessä, ja tummemmat viivat näyttävät, missä se viimeksi nähtiin. Sininen nuoli näyttää meteorin näkyvän lennon.

static map
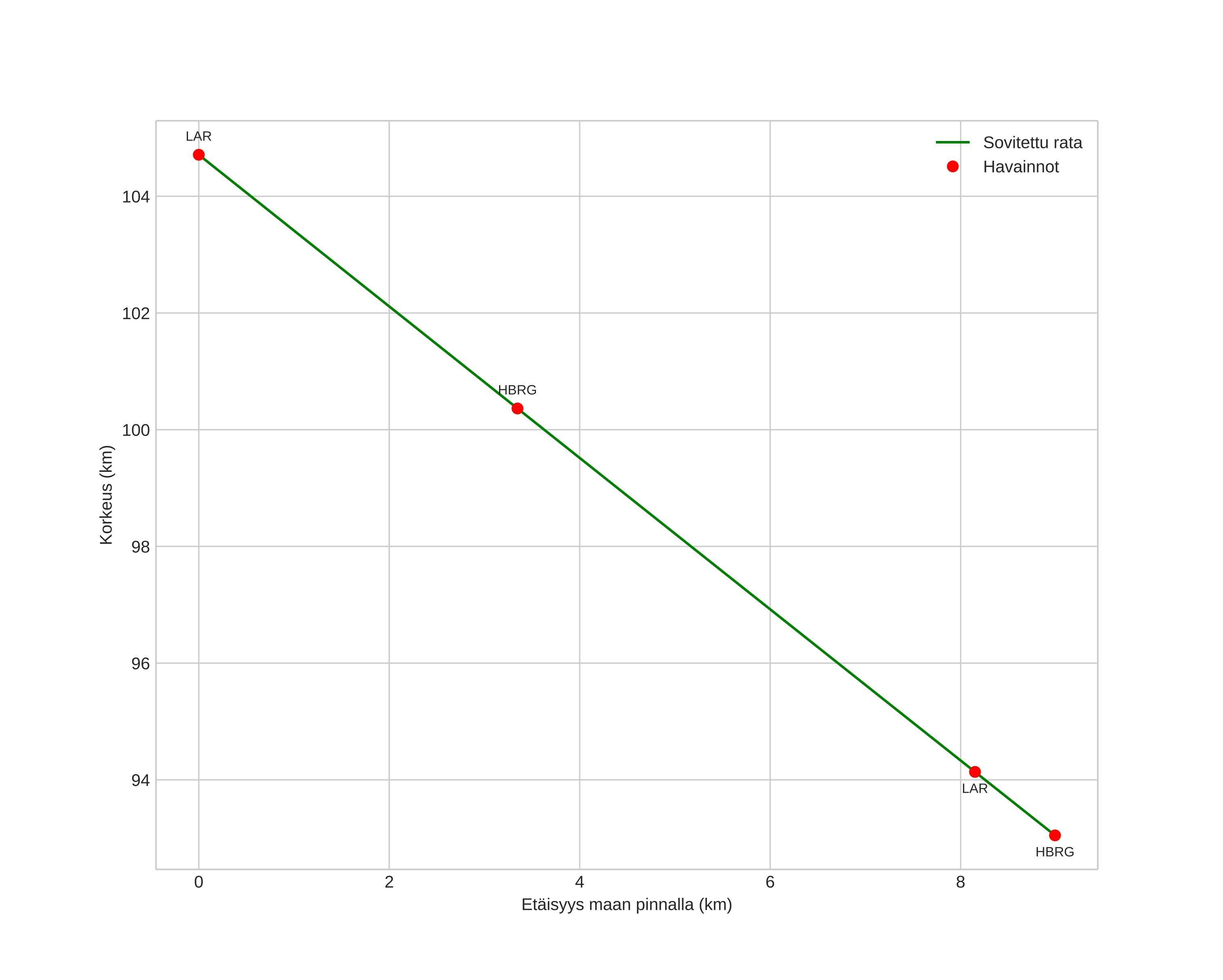
height profile
Meteorin ilmakehärata:
Alkukorkeus: 107,3 km
Loppukorkeus: 93,0 km
Alkupiste: 61,589N 12,982E
Loppupiste: 61,563N 12,793E
Suunta: 253,8°
Kallistuskulma: 53,9°
Tulonopeus: 67,1 km/s
Radiantin R,A,: 01:27 (21,8°)
Radiantin Dekl,: 51,9°
Meteoriparvi: Perseidit
Meteoroidin rataelementit:
Perihelietäisyys: 0,999 AU
Eksentrisyys: 1,554
Inklinaatio: 117,3°
Nousevan solmun pituus: 124,8°
Perihelin argumentti: 166,9°
Keskianomalia: 3,4°
Epookki: 2025 JUL 27 23:45:37
orbit plot

Ei-interaktiivinen kuvaaja | Interaktiivinen kuvaaja

position vs time
speed and acceleration

Larvik (LAR) cam1


gnomonic
Videot:
• Gnomoninen
• Gnomoninen koordinaateilla
• Alkuperäinen
• Alkuperäinen koordinaateilla
Kuvat:
• Gnomoninen
• Gnomoninen koordinaateilla
• Alkuperäinen
• Alkuperäinen koordinaateilla
Tekstitiedostot:
• Havaintoraportti
• Observaatio
• Koordinaatit
• Loki
Kirkkaus