🇳🇴 🇬🇧 🇩🇪 🇨🇿 🇫🇮

Meteor, poloha: Rättvik 2025-08-06 22:58:48 UTC

Soubor KML  |  Interaktivní mapa

Mapa zobrazuje dráhy meteoru. Světlejší čáry ukazují směry od pozorovacích stanic při objevení se meteoru a tmavší čáry, kde byl naposledy viděn. Modrá šipka značí viditelnou dráhu meteoru.

static map
height profile
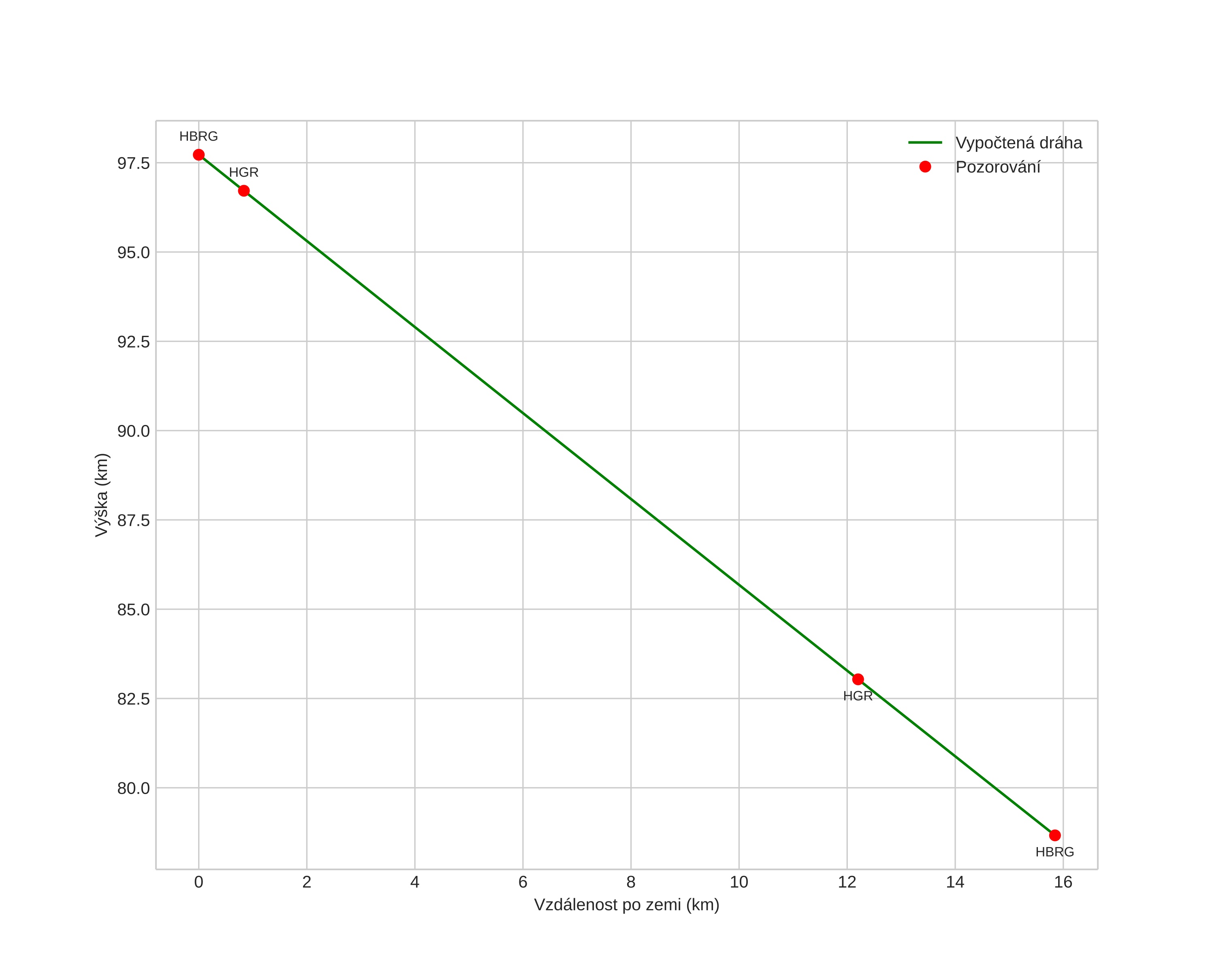
Atmosférická dráha meteoru:
Počáteční výška: 99,0 km
Konečná výška: 78,8 km
Počáteční poloha: 61,123N 15,589E
Konečná poloha: 61,039N 15,328E
Směr: 236,6°
Sklon: 50,2°
Vstupní rychlost: 63,7 km/s
Rektascenze radiantu: 02:35 (38,9°)
Deklinace radiantu: 57,3°
Meteorický roj: Perseidy
Elementy dráhy meteoroidu:
Vzdálenost v periheliu: 0,967 AU
Excentricita: 1,286
Sklon dráhy: 114,0°
Délka vzestupného uzlu: 134,4°
Argument perihelia: 156,5°
Střední anomálie: 2,4°
Epocha: 2025 AUG 06 22:58:48
orbit plot

Neinteraktivní graf | Interaktivní graf

position vs time
speed and acceleration