🇳🇴 🇬🇧 🇩🇪 🇨🇿 🇫🇮

Meteor Rättvikin yllä 2025-08-06 22:58:48 UTC

KML-tiedosto  |  Interaktiivinen kartta

Kartta näyttää meteorin suuntahavainnot. Vaaleammat viivat näyttävät suunnat havaintoasemilta meteorin ilmestyessä, ja tummemmat viivat näyttävät, missä se viimeksi nähtiin. Sininen nuoli näyttää meteorin näkyvän lennon.

static map
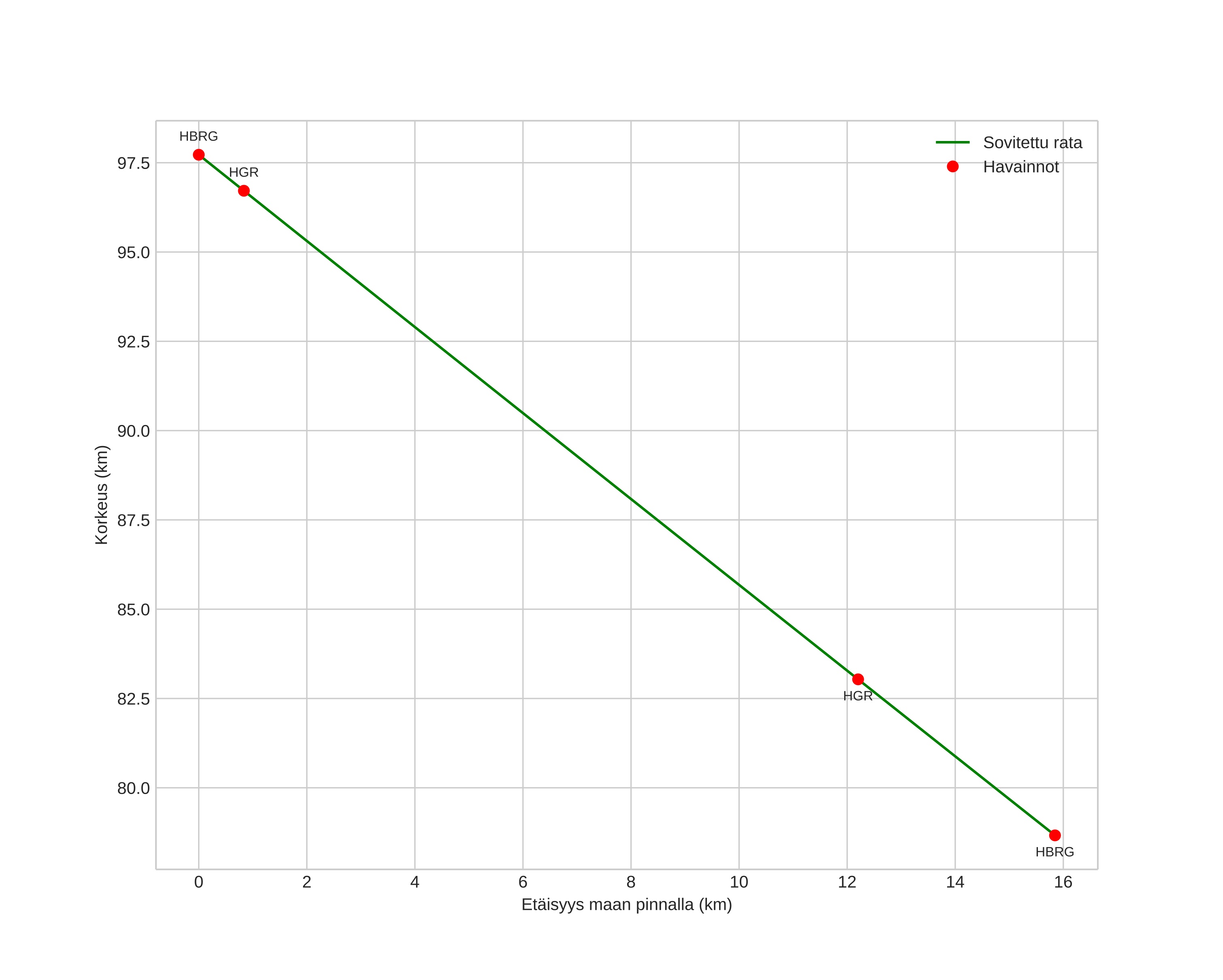
height profile
Meteorin ilmakehärata:
Alkukorkeus: 99,0 km
Loppukorkeus: 78,8 km
Alkupiste: 61,123N 15,589E
Loppupiste: 61,039N 15,328E
Suunta: 236,6°
Kallistuskulma: 50,2°
Tulonopeus: 63,7 km/s
Radiantin R,A,: 02:35 (38,9°)
Radiantin Dekl,: 57,3°
Meteoriparvi: Perseidit
Meteoroidin rataelementit:
Perihelietäisyys: 0,967 AU
Eksentrisyys: 1,286
Inklinaatio: 114,0°
Nousevan solmun pituus: 134,4°
Perihelin argumentti: 156,5°
Keskianomalia: 2,4°
Epookki: 2025 AUG 06 22:58:48
orbit plot

Ei-interaktiivinen kuvaaja | Interaktiivinen kuvaaja

position vs time
speed and acceleration

Hagar (HGR) cam3


gnomonic
Videot:
• Gnomoninen
• Gnomoninen koordinaateilla
• Alkuperäinen
• Alkuperäinen koordinaateilla
Kuvat:
• Gnomoninen
• Gnomoninen koordinaateilla
• Alkuperäinen
• Alkuperäinen koordinaateilla
Tekstitiedostot:
• Havaintoraportti
• Observaatio
• Koordinaatit
• Loki
Kirkkaus