🇳🇴 🇬🇧 🇩🇪 🇨🇿 🇫🇮

Meteor Innbygdan yllä 2025-08-09 23:58:26 UTC

KML-tiedosto  |  Interaktiivinen kartta

Kartta näyttää meteorin suuntahavainnot. Vaaleammat viivat näyttävät suunnat havaintoasemilta meteorin ilmestyessä, ja tummemmat viivat näyttävät, missä se viimeksi nähtiin. Sininen nuoli näyttää meteorin näkyvän lennon.

static map
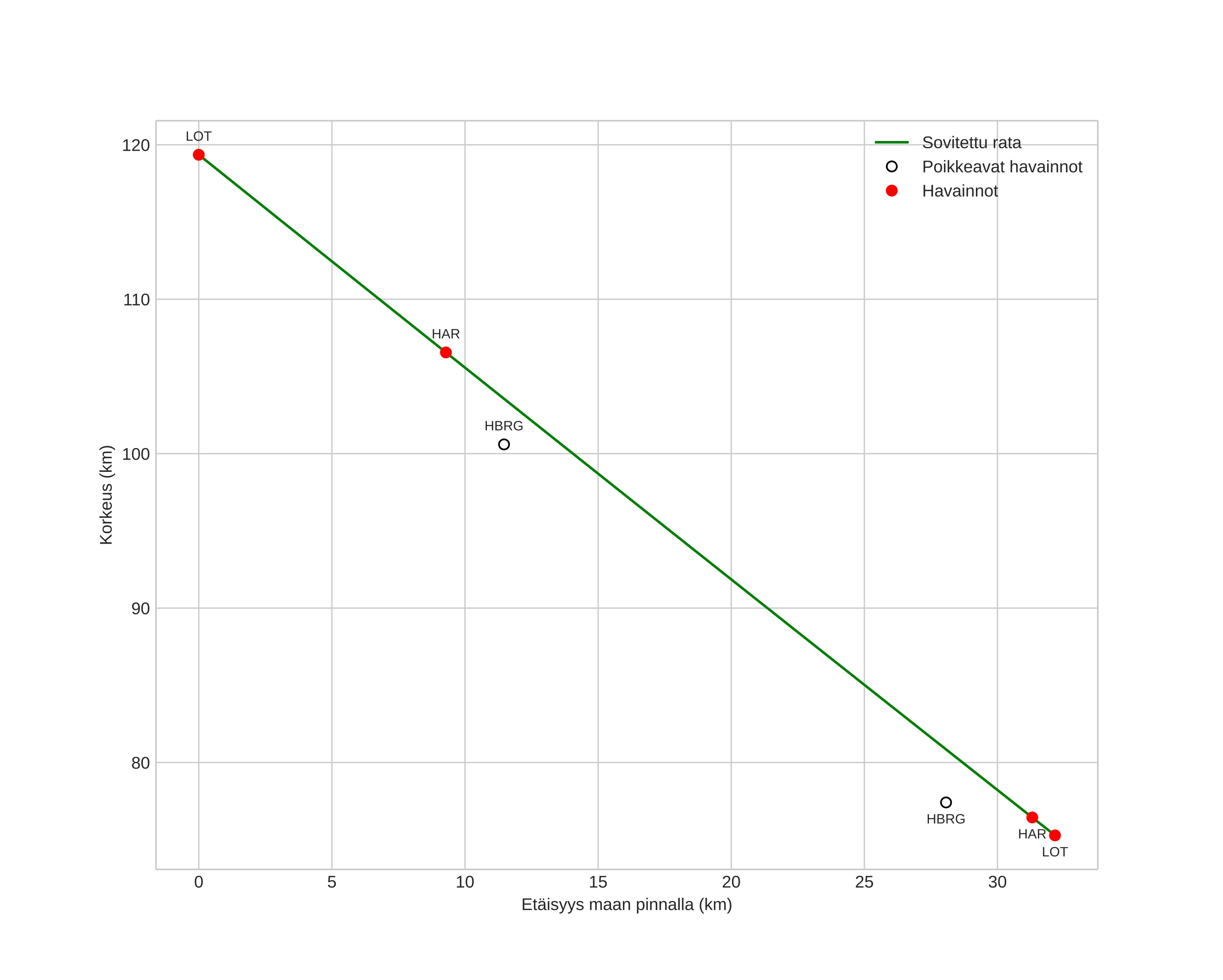
height profile
Meteorin ilmakehärata:
Alkukorkeus: 112,8 km
Loppukorkeus: 71,6 km
Alkupiste: 60,924N 13,099E
Loppupiste: 60,794N 12,610E
Suunta: 241,5°
Kallistuskulma: 53,8°
Tulonopeus: 67,1 km/s
Radiantin R,A,: 03:01 (45,3°)
Radiantin Dekl,: 57,2°
Meteoriparvi: Perseidit
Meteoroidin rataelementit:
Perihelietäisyys: 0,960 AU
Eksentrisyys: 1,544
Inklinaatio: 117,3°
Nousevan solmun pituus: 137,3°
Perihelin argumentti: 155,9°
Keskianomalia: 6,3°
Epookki: 2025 AUG 09 23:58:26
orbit plot

Ei-interaktiivinen kuvaaja | Interaktiivinen kuvaaja

position vs time
speed and acceleration

Harestua (HAR) cam2


gnomonic
Videot:
• Gnomoninen
• Gnomoninen koordinaateilla
• Alkuperäinen
• Alkuperäinen koordinaateilla
Kuvat:
• Gnomoninen
• Gnomoninen koordinaateilla
• Alkuperäinen
• Alkuperäinen koordinaateilla
Tekstitiedostot:
• Havaintoraportti
• Observaatio
• Koordinaatit
• Loki
Kirkkaus

Loten (LOT) cam6


gnomonic
Videot:
• Gnomoninen
• Gnomoninen koordinaateilla
• Alkuperäinen
• Alkuperäinen koordinaateilla
Kuvat:
• Gnomoninen
• Gnomoninen koordinaateilla
• Alkuperäinen
• Alkuperäinen koordinaateilla
Tekstitiedostot:
• Havaintoraportti
• Observaatio
• Koordinaatit
• Loki
Kirkkaus