🇳🇴 🇬🇧 🇩🇪 🇨🇿 🇫🇮

Meteor over Filipstad 2025-08-10 23:33:43 UTC

KML-fil  |  Interaktivt kart

Kartet viser peilingene for meteoren. De lysere linjene viser retningene fra observasjonsstedene for meteorens tilsynekomst, og de mørkere linjene viser hvor den sist kunne sees. Den blå pila viser meteorens synlige ferd.

static map
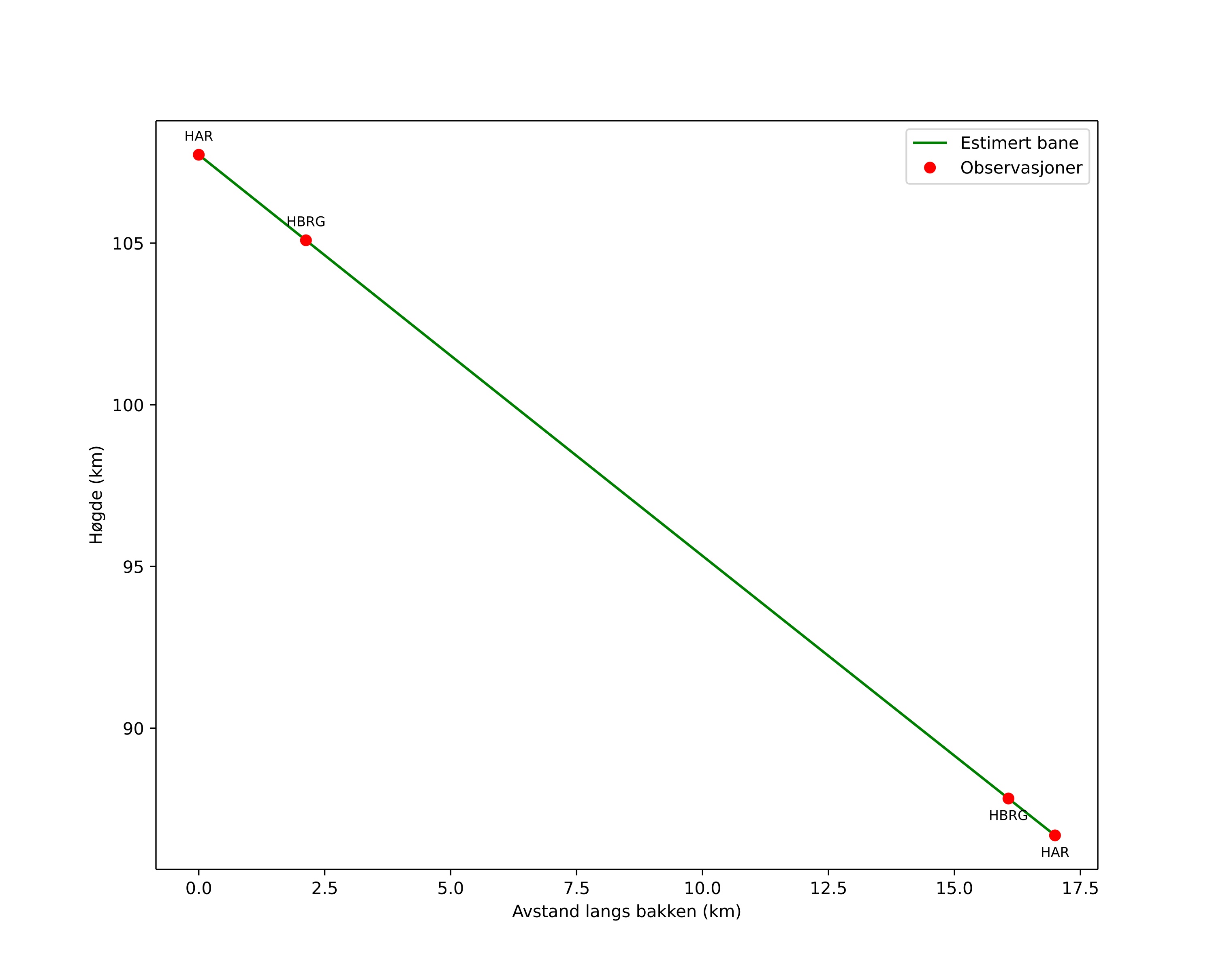
height profile
Meteorens atmosfæriske bane:
Starthøgde: 108,3 km
Slutthøgde: 87,0 km
Startposisjon: 59,833N 14,576E
Sluttposisjon: 59,761N 14,302E
Retning: 242,6°
Fallvinkel: 51,0°
Inngangshastighet: 64,6 km/s
Radiantens rektascensjon: 02:53 (43,3°)
Radiantens deklinasjon: 54,6°
Meteorsverm: Perseidene
Meteoroidens baneelement:
Perihelavstand: 0,975 AU
Eksentrisitet: 1,199
Inklinasjon: 119,4°
Knutelengde: 138,2°
Perihelargument: 158,6°
Midlere anomali: 1,3°
Epoke: 2025 AUG 10 23:33:43
orbit plot

Ikke-interaktivt plott | Interaktivt plott

position vs time
speed and acceleration

Harestua (HAR) cam2


gnomonic
Videoer
• Gnomonisk
• Gnomonisk med koordinater
• Original
• Original med koordinater
Bilder
• Gnomonisk
• Gnomonisk med koordinater
• Original
• Original med koordinater
Tekstfiler
• Deteksjon
• Observasjon
• Koordinater
• Logg
Lysstyrke