🇳🇴 🇬🇧 🇩🇪 🇨🇿 🇫🇮

Meteor, poloha: Filipstad 2025-08-10 23:33:43 UTC

Soubor KML  |  Interaktivní mapa

Mapa zobrazuje dráhy meteoru. Světlejší čáry ukazují směry od pozorovacích stanic při objevení se meteoru a tmavší čáry, kde byl naposledy viděn. Modrá šipka značí viditelnou dráhu meteoru.

static map
height profile
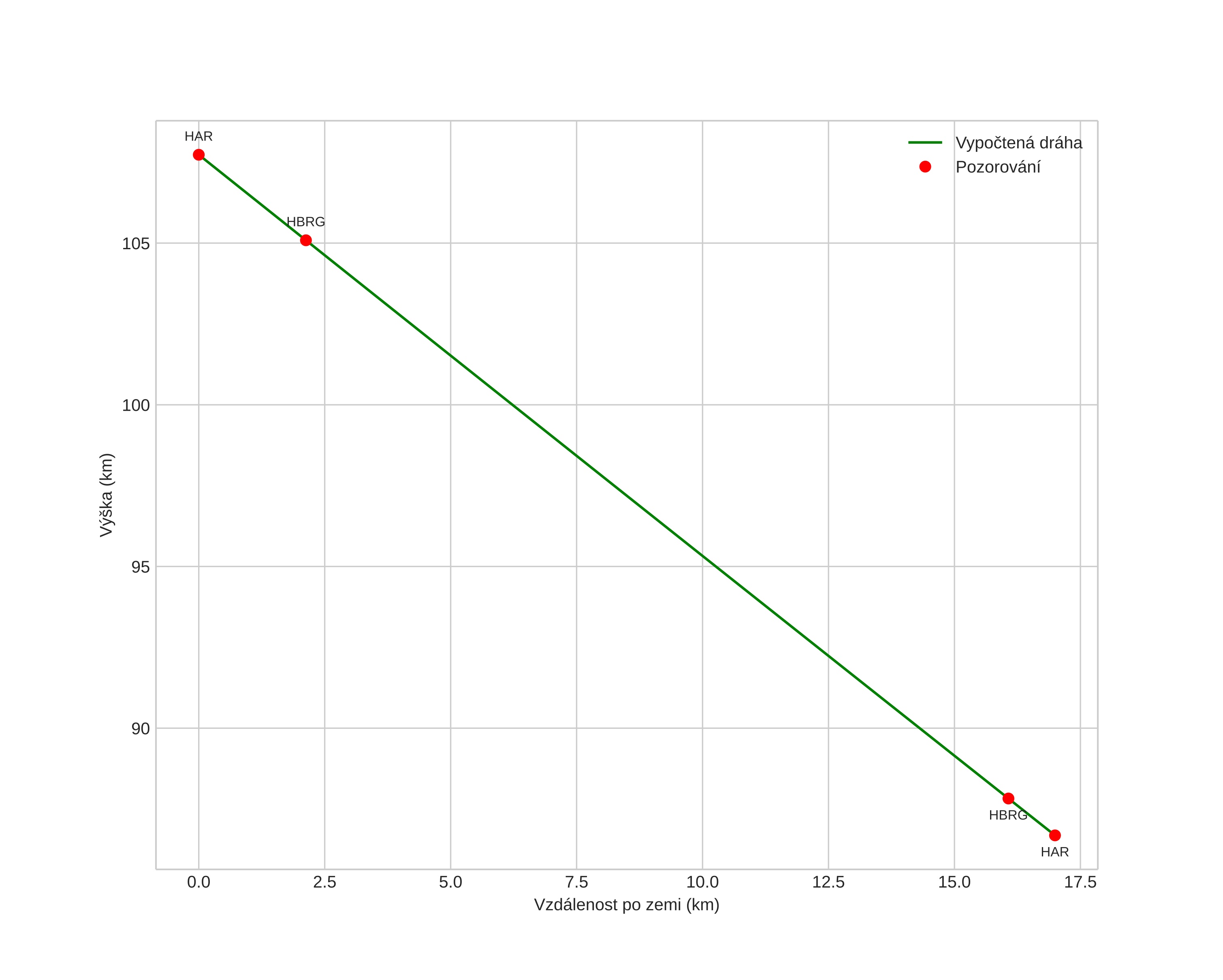
Atmosférická dráha meteoru:
Počáteční výška: 108,3 km
Konečná výška: 87,0 km
Počáteční poloha: 59,833N 14,576E
Konečná poloha: 59,761N 14,302E
Směr: 242,6°
Sklon: 51,0°
Vstupní rychlost: 64,6 km/s
Rektascenze radiantu: 02:53 (43,3°)
Deklinace radiantu: 54,6°
Meteorický roj: Perseidy
Elementy dráhy meteoroidu:
Vzdálenost v periheliu: 0,975 AU
Excentricita: 1,199
Sklon dráhy: 119,4°
Délka vzestupného uzlu: 138,2°
Argument perihelia: 158,6°
Střední anomálie: 1,3°
Epocha: 2025 AUG 10 23:33:43
orbit plot

Neinteraktivní graf | Interaktivní graf

position vs time
speed and acceleration