🇳🇴 🇬🇧 🇩🇪 🇨🇿 🇫🇮

Meteor Filipstadin yllä 2025-08-10 23:33:43 UTC

KML-tiedosto  |  Interaktiivinen kartta

Kartta näyttää meteorin suuntahavainnot. Vaaleammat viivat näyttävät suunnat havaintoasemilta meteorin ilmestyessä, ja tummemmat viivat näyttävät, missä se viimeksi nähtiin. Sininen nuoli näyttää meteorin näkyvän lennon.

static map
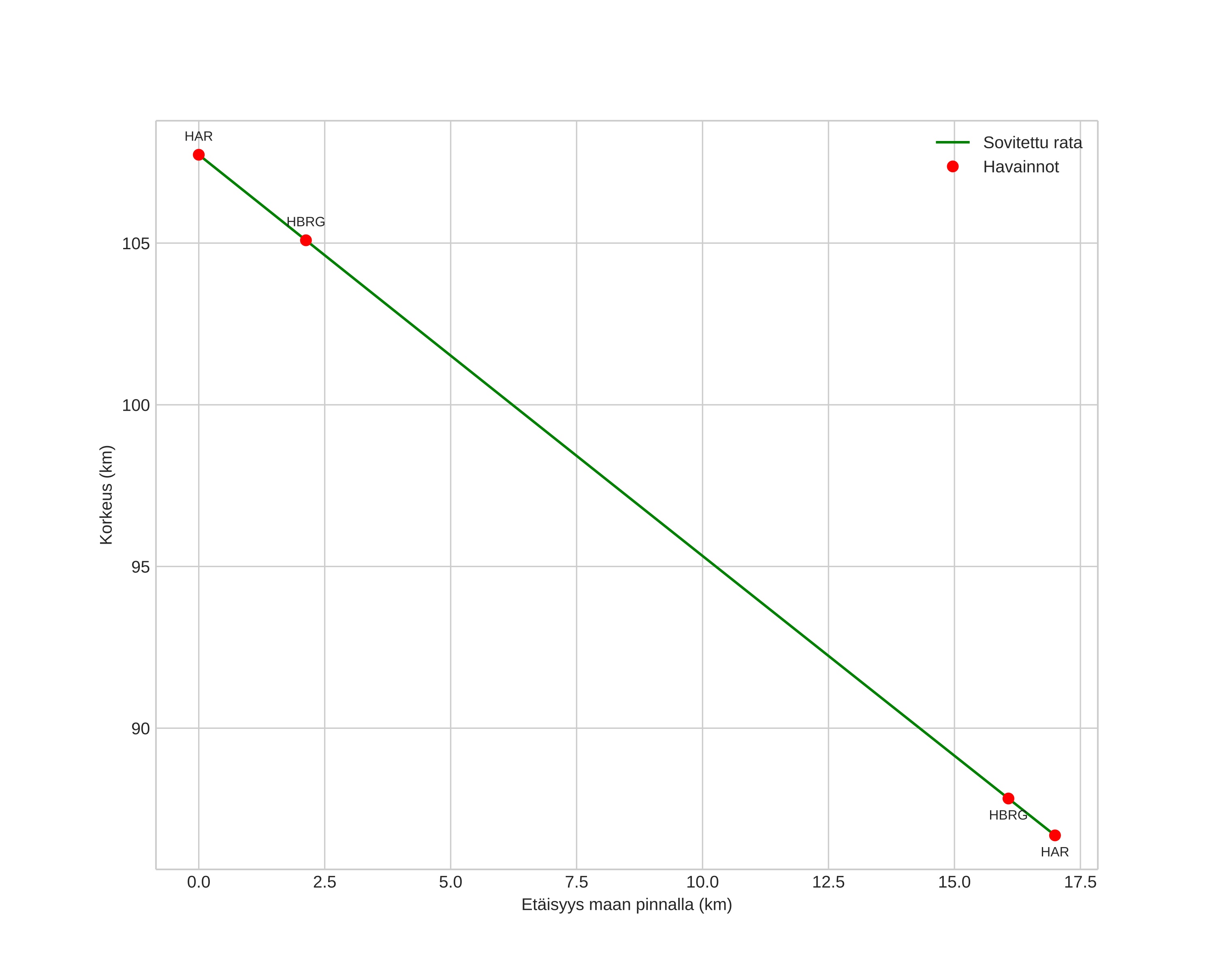
height profile
Meteorin ilmakehärata:
Alkukorkeus: 108,3 km
Loppukorkeus: 87,0 km
Alkupiste: 59,833N 14,576E
Loppupiste: 59,761N 14,302E
Suunta: 242,6°
Kallistuskulma: 51,0°
Tulonopeus: 64,6 km/s
Radiantin R,A,: 02:53 (43,3°)
Radiantin Dekl,: 54,6°
Meteoriparvi: Perseidit
Meteoroidin rataelementit:
Perihelietäisyys: 0,975 AU
Eksentrisyys: 1,199
Inklinaatio: 119,4°
Nousevan solmun pituus: 138,2°
Perihelin argumentti: 158,6°
Keskianomalia: 1,3°
Epookki: 2025 AUG 10 23:33:43
orbit plot

Ei-interaktiivinen kuvaaja | Interaktiivinen kuvaaja

position vs time
speed and acceleration

Harestua (HAR) cam2


gnomonic
Videot:
• Gnomoninen
• Gnomoninen koordinaateilla
• Alkuperäinen
• Alkuperäinen koordinaateilla
Kuvat:
• Gnomoninen
• Gnomoninen koordinaateilla
• Alkuperäinen
• Alkuperäinen koordinaateilla
Tekstitiedostot:
• Havaintoraportti
• Observaatio
• Koordinaatit
• Loki
Kirkkaus