🇳🇴 🇬🇧 🇩🇪 🇨🇿 🇫🇮

Meteor, poloha: Edsbyn 2025-08-10 23:55:34 UTC

Soubor KML  |  Interaktivní mapa

Mapa zobrazuje dráhy meteoru. Světlejší čáry ukazují směry od pozorovacích stanic při objevení se meteoru a tmavší čáry, kde byl naposledy viděn. Modrá šipka značí viditelnou dráhu meteoru.

static map
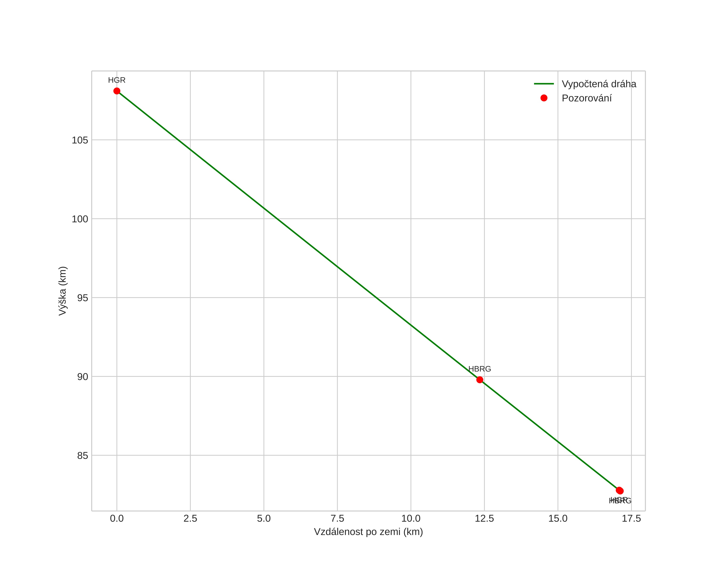
height profile
Atmosférická dráha meteoru:
Počáteční výška: 108,2 km
Konečná výška: 82,7 km
Počáteční poloha: 61,333N 15,685E
Konečná poloha: 61,264N 15,398E
Směr: 243,3°
Sklon: 56,0°
Vstupní rychlost: 53,5 km/s
Rektascenze radiantu: 02:57 (44,4°)
Deklinace radiantu: 57,8°
Meteorický roj: Perseidy
Elementy dráhy meteoroidu:
Vzdálenost v periheliu: 0,923 AU
Excentricita: 0,486
Sklon dráhy: 107,5°
Délka vzestupného uzlu: 138,2°
Argument perihelia: 136,5°
Střední anomálie: 14,0°
Epocha: 2025 AUG 10 23:55:34
orbit plot

Neinteraktivní graf | Interaktivní graf

position vs time
speed and acceleration