🇳🇴 🇬🇧 🇩🇪 🇨🇿 🇫🇮

Meteor über Edsbyn 2025-08-10 23:55:34 UTC

KML-Datei  |  Interaktive Karte

Die Karte zeigt die Peilungen für den Meteor. Die helleren Linien zeigen die Richtungen von den Beobachtungsorten beim Erscheinen des Meteors, und die dunkleren Linien, wo er zuletzt gesehen wurde. Der blaue Pfeil zeigt die sichtbare Bahn des Meteors.

static map
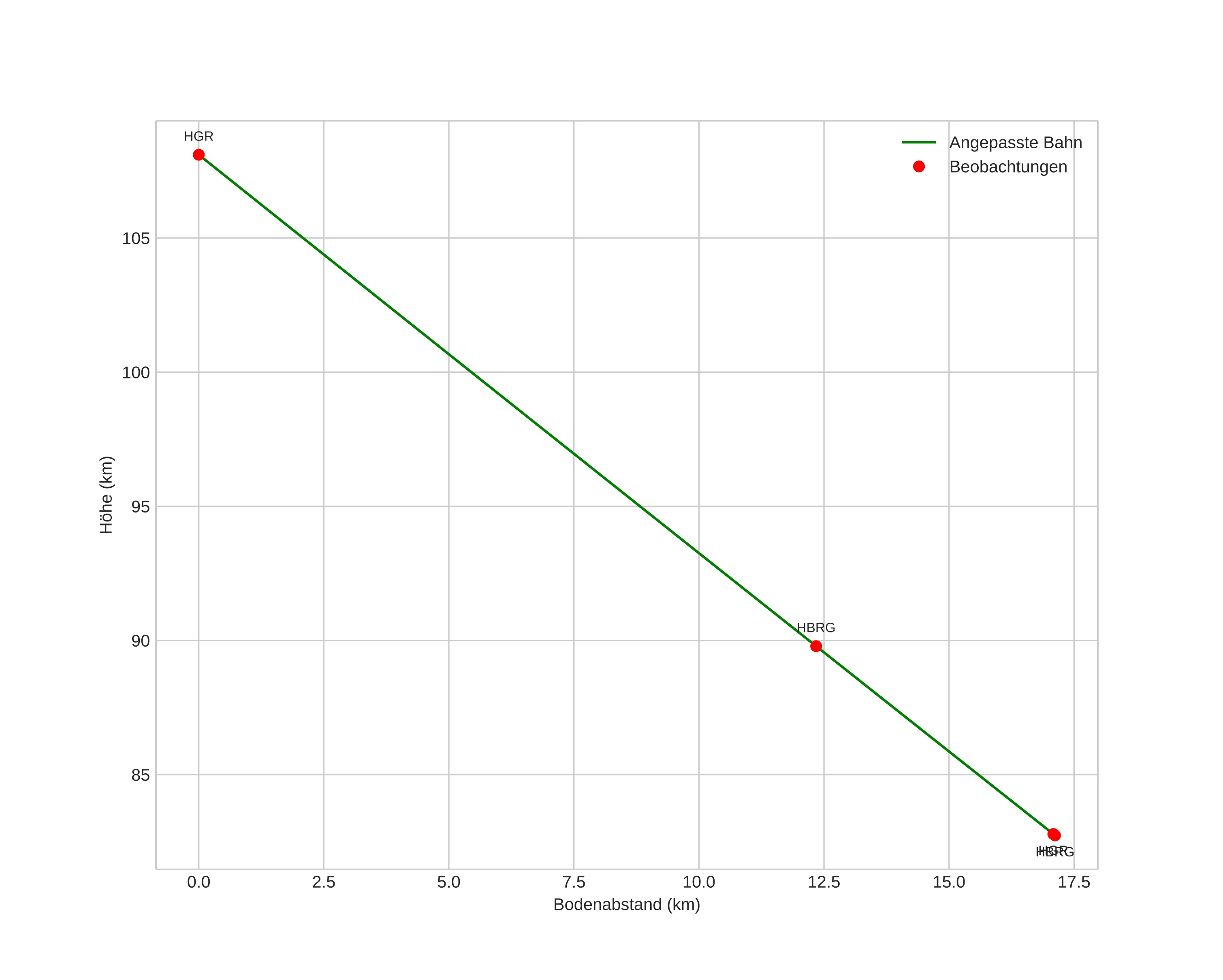
height profile
Atmosphärische Bahn des Meteors:
Anfangshöhe: 108,2 km
Endhöhe: 82,7 km
Startposition: 61,333N 15,685E
Endposition: 61,264N 15,398E
Richtung: 243,3°
Neigungswinkel: 56,0°
Eintrittsgeschwindigkeit: 53,5 km/s
Rektaszension des Radianten: 02:57 (44,4°)
Deklination des Radianten: 57,8°
Meteorstrom: Perseiden
Bahnelemente des Meteoroiden:
Periheldistanz: 0,923 AU
Exzentrizität: 0,486
Inklination: 107,5°
Länge des aufsteigenden Knotens: 138,2°
Argument des Perihels: 136,5°
Mittlere Anomalie: 14,0°
Epoche: 2025 AUG 10 23:55:34
orbit plot

Nicht-interaktives Diagramm | Interaktives Diagramm

position vs time
speed and acceleration

Hagar (HGR) cam3


gnomonic
Videos
• Gnomonisch
• Gnomonisch mit Koordinaten
• Original
• Original mit Koordinaten
Bilder
• Gnomonisch
• Gnomonisch mit Koordinaten
• Original
• Original mit Koordinaten
Textdateien
• Erkennung
• Beobachtung
• Koordinaten
• Protokoll
Helligkeit