🇳🇴 🇬🇧 🇩🇪 🇨🇿 🇫🇮

Meteor, poloha: Norrköping 2025-08-13 22:43:24 UTC

Soubor KML  |  Interaktivní mapa

Mapa zobrazuje dráhy meteoru. Světlejší čáry ukazují směry od pozorovacích stanic při objevení se meteoru a tmavší čáry, kde byl naposledy viděn. Modrá šipka značí viditelnou dráhu meteoru.

static map
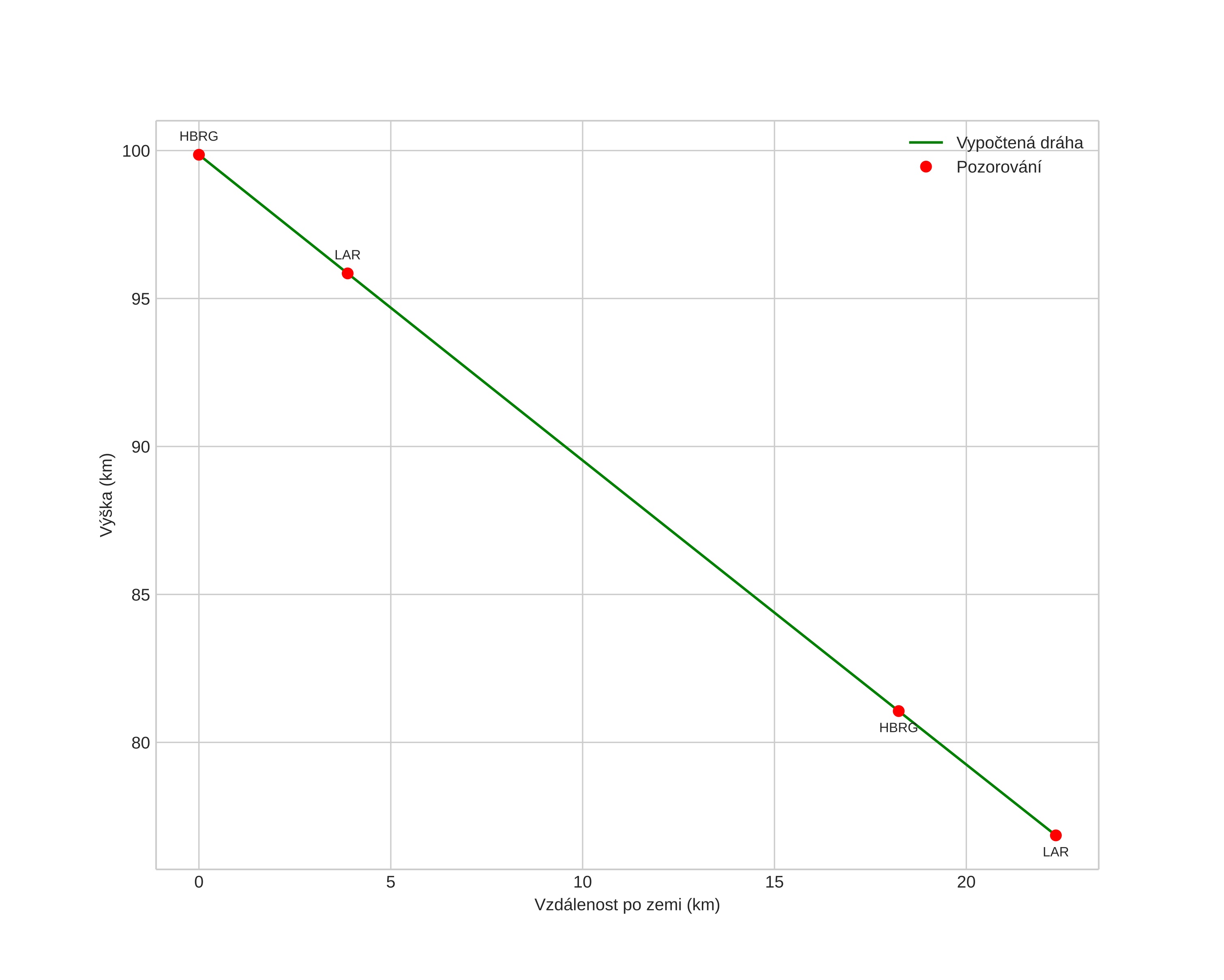
height profile
Atmosférická dráha meteoru:
Počáteční výška: 99,5 km
Konečná výška: 75,9 km
Počáteční poloha: 58,691N 16,454E
Konečná poloha: 58,560N 16,137E
Směr: 231,7°
Sklon: 45,2°
Vstupní rychlost: 51,9 km/s
Rektascenze radiantu: 03:21 (50,4°)
Deklinace radiantu: 56,2°
Meteorický roj: Perseidy
Elementy dráhy meteoroidu:
Vzdálenost v periheliu: 0,861 AU
Excentricita: 0,348
Sklon dráhy: 109,1°
Délka vzestupného uzlu: 141,1°
Argument perihelia: 114,7°
Střední anomálie: 33,2°
Epocha: 2025 AUG 13 22:43:24
orbit plot

Neinteraktivní graf | Interaktivní graf

position vs time
speed and acceleration