🇳🇴 🇬🇧 🇩🇪 🇨🇿 🇫🇮

Meteor Norrköpingin yllä 2025-08-13 22:43:24 UTC

KML-tiedosto  |  Interaktiivinen kartta

Kartta näyttää meteorin suuntahavainnot. Vaaleammat viivat näyttävät suunnat havaintoasemilta meteorin ilmestyessä, ja tummemmat viivat näyttävät, missä se viimeksi nähtiin. Sininen nuoli näyttää meteorin näkyvän lennon.

static map
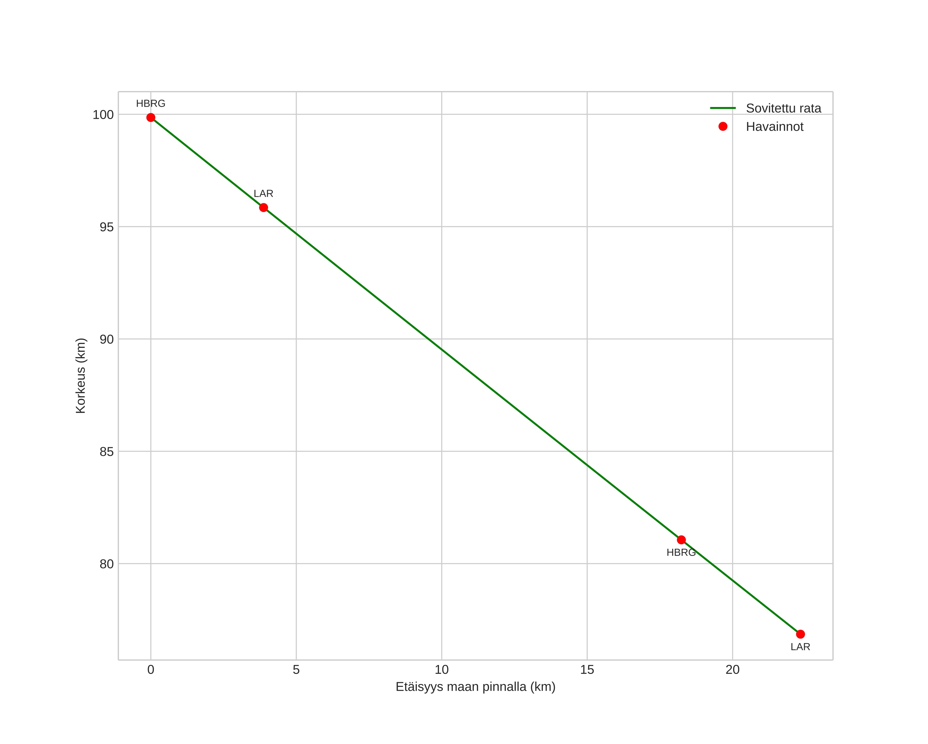
height profile
Meteorin ilmakehärata:
Alkukorkeus: 99,5 km
Loppukorkeus: 75,9 km
Alkupiste: 58,691N 16,454E
Loppupiste: 58,560N 16,137E
Suunta: 231,7°
Kallistuskulma: 45,2°
Tulonopeus: 51,9 km/s
Radiantin R,A,: 03:21 (50,4°)
Radiantin Dekl,: 56,2°
Meteoriparvi: Perseidit
Meteoroidin rataelementit:
Perihelietäisyys: 0,861 AU
Eksentrisyys: 0,348
Inklinaatio: 109,1°
Nousevan solmun pituus: 141,1°
Perihelin argumentti: 114,7°
Keskianomalia: 33,2°
Epookki: 2025 AUG 13 22:43:24
orbit plot

Ei-interaktiivinen kuvaaja | Interaktiivinen kuvaaja

position vs time
speed and acceleration

Larvik (LAR) cam3


gnomonic
Videot:
• Gnomoninen
• Gnomoninen koordinaateilla
• Alkuperäinen
• Alkuperäinen koordinaateilla
Kuvat:
• Gnomoninen
• Gnomoninen koordinaateilla
• Alkuperäinen
• Alkuperäinen koordinaateilla
Tekstitiedostot:
• Havaintoraportti
• Observaatio
• Koordinaatit
• Loki
Kirkkaus