🇳🇴 🇬🇧 🇩🇪 🇨🇿 🇫🇮

Meteor, poloha: Järna 2025-08-17 22:34:54 UTC

Soubor KML  |  Interaktivní mapa

Mapa zobrazuje dráhy meteoru. Světlejší čáry ukazují směry od pozorovacích stanic při objevení se meteoru a tmavší čáry, kde byl naposledy viděn. Modrá šipka značí viditelnou dráhu meteoru.

static map
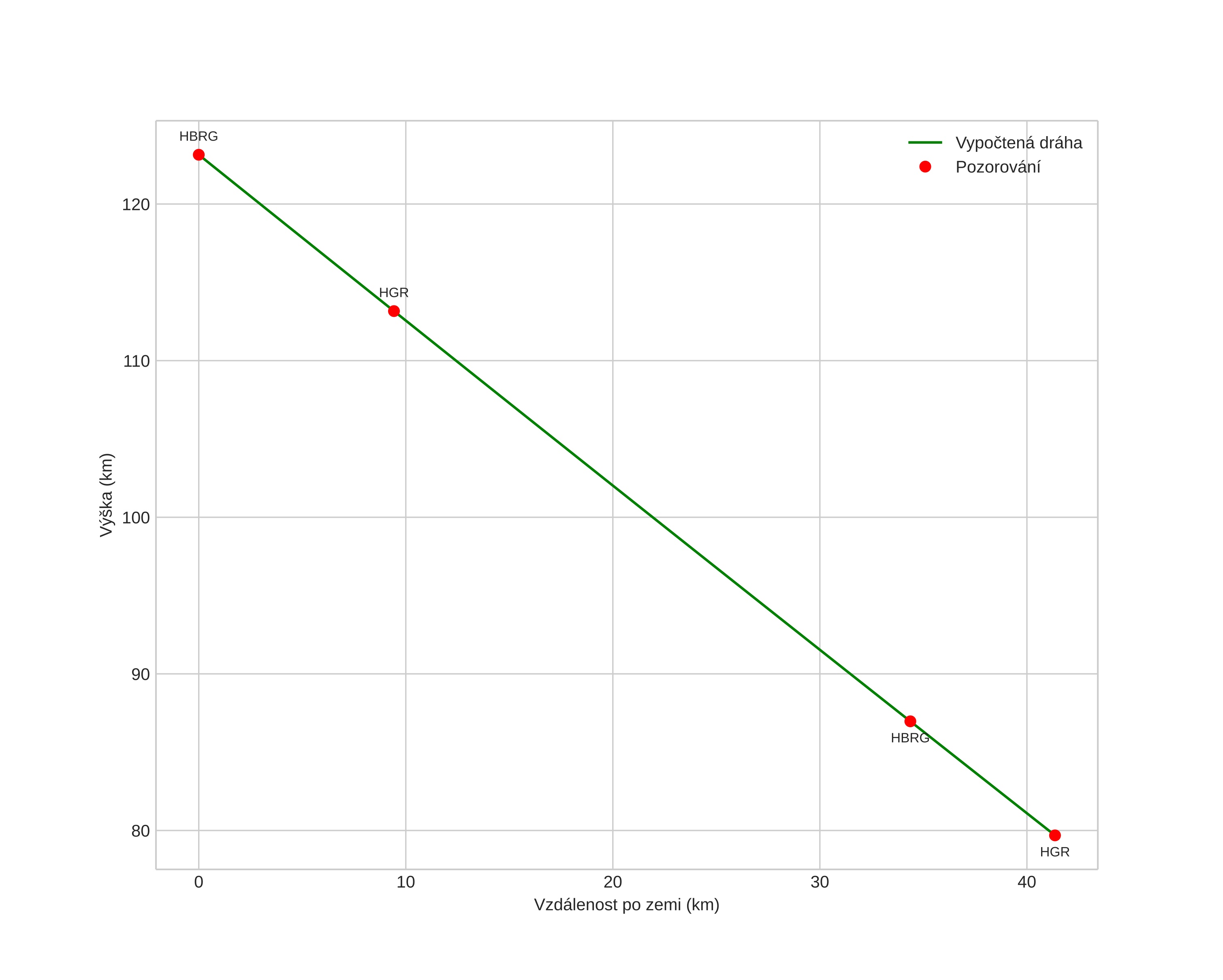
height profile
Atmosférická dráha meteoru:
Počáteční výška: 123,0 km
Konečná výška: 79,6 km
Počáteční poloha: 60,841N 14,974E
Konečná poloha: 60,614N 14,370E
Směr: 232,7°
Sklon: 46,4°
Vstupní rychlost: 64,5 km/s
Rektascenze radiantu: 03:24 (51,2°)
Deklinace radiantu: 56,5°
Meteorický roj: Perseidy
Elementy dráhy meteoroidu:
Vzdálenost v periheliu: 0,979 AU
Excentricita: 1,184
Sklon dráhy: 119,0°
Délka vzestupného uzlu: 144,9°
Argument perihelia: 160,0°
Střední anomálie: 1,1°
Epocha: 2025 AUG 17 22:34:54
orbit plot

Neinteraktivní graf | Interaktivní graf

position vs time
speed and acceleration