🇳🇴 🇬🇧 🇩🇪 🇨🇿 🇫🇮

Meteor über Järna 2025-08-17 22:34:54 UTC

KML-Datei  |  Interaktive Karte

Die Karte zeigt die Peilungen für den Meteor. Die helleren Linien zeigen die Richtungen von den Beobachtungsorten beim Erscheinen des Meteors, und die dunkleren Linien, wo er zuletzt gesehen wurde. Der blaue Pfeil zeigt die sichtbare Bahn des Meteors.

static map
height profile
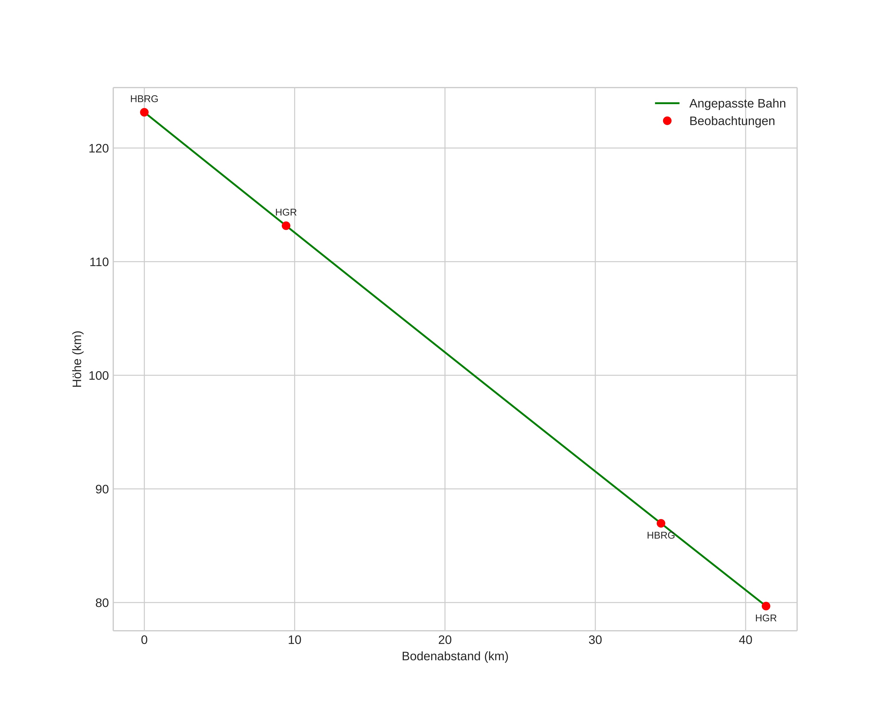
Atmosphärische Bahn des Meteors:
Anfangshöhe: 123,0 km
Endhöhe: 79,6 km
Startposition: 60,841N 14,974E
Endposition: 60,614N 14,370E
Richtung: 232,7°
Neigungswinkel: 46,4°
Eintrittsgeschwindigkeit: 64,5 km/s
Rektaszension des Radianten: 03:24 (51,2°)
Deklination des Radianten: 56,5°
Meteorstrom: Perseiden
Bahnelemente des Meteoroiden:
Periheldistanz: 0,979 AU
Exzentrizität: 1,184
Inklination: 119,0°
Länge des aufsteigenden Knotens: 144,9°
Argument des Perihels: 160,0°
Mittlere Anomalie: 1,1°
Epoche: 2025 AUG 17 22:34:54
orbit plot

Nicht-interaktives Diagramm | Interaktives Diagramm

position vs time
speed and acceleration

Hagar (HGR) cam3


gnomonic
Videos
• Gnomonisch
• Gnomonisch mit Koordinaten
• Original
• Original mit Koordinaten
Bilder
• Gnomonisch
• Gnomonisch mit Koordinaten
• Original
• Original mit Koordinaten
Textdateien
• Erkennung
• Beobachtung
• Koordinaten
• Protokoll
Helligkeit