🇳🇴 🇬🇧 🇩🇪 🇨🇿 🇫🇮

Meteor, poloha: Söderfors 2025-08-19 22:16:41 UTC

Soubor KML  |  InteraktivnĂ­ mapa

Mapa zobrazuje dráhy meteoru. Světlejší čáry ukazují směry od pozorovacích stanic při objevení se meteoru a tmavší čáry, kde byl naposledy viděn. Modrá šipka značí viditelnou dráhu meteoru.

static map
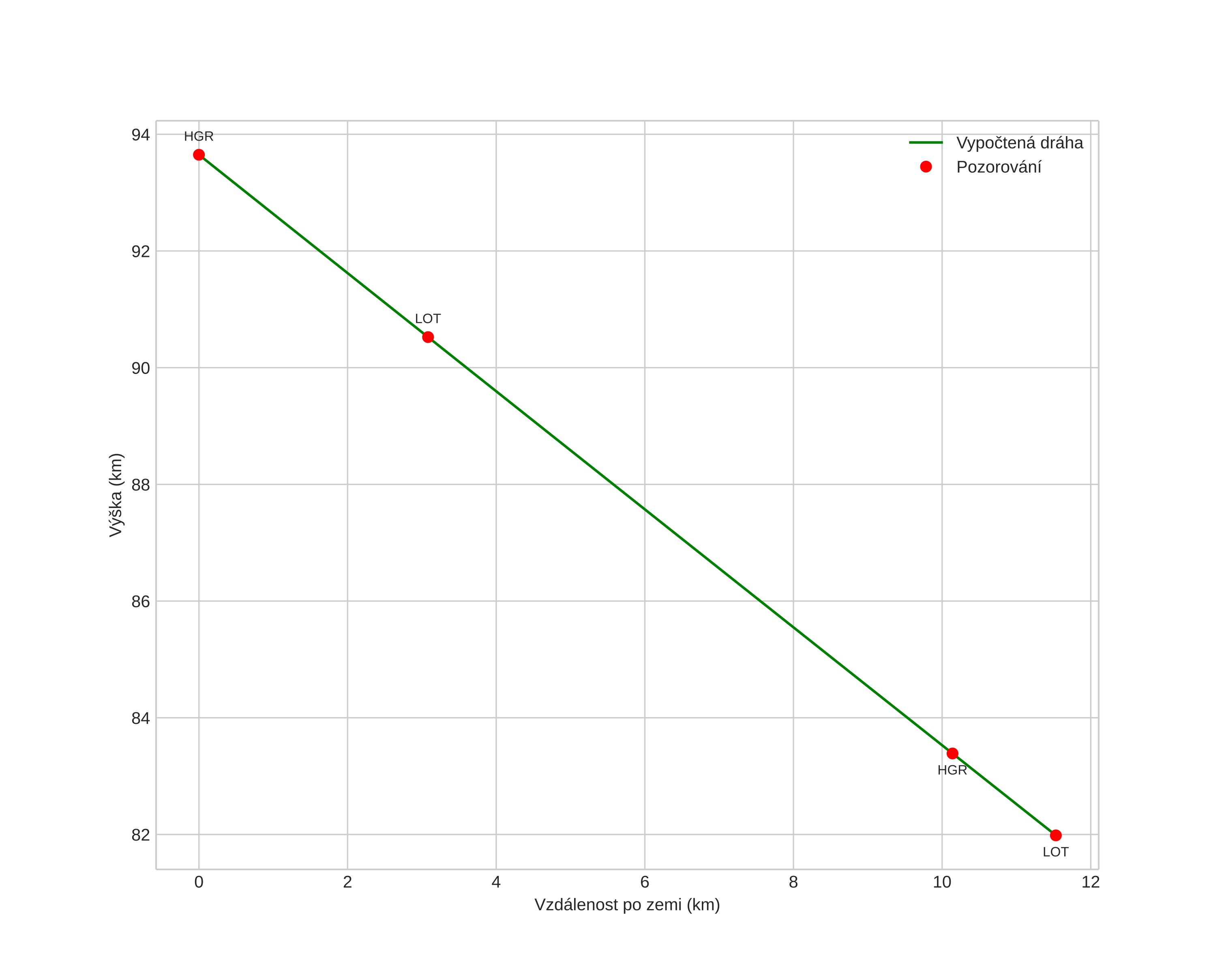
height profile
Atmosférická dráha meteoru:
Počáteční výška: 95,1 km
Konečná výška: 82,0 km
Počáteční poloha: 60,307N 17,541E
Konečná poloha: 60,298N 17,310E
Směr: 265,4°
Sklon: 45,7°
VstupnĂ­ rychlost: 54,0 km/s
Rektascenze radiantu: 01:44 (26,2°)
Deklinace radiantu: 40,1°
MeteorickĂ˝ roj: sporadickĂ˝
Elementy dráhy meteoroidu:
Vzdálenost v periheliu: 0,639 AU
Excentricita: 0,471
Sklon dráhy: 122,6°
Délka vzestupného uzlu: 146,8°
Argument perihelia: 278,7°
Střední anomálie: 315,4°
Epocha: 2025 AUG 19 22:16:41
orbit plot

NeinteraktivnĂ­ graf | InteraktivnĂ­ graf

position vs time
speed and acceleration

Hagar (HGR) cam3


gnomonic
Videa
• Gnomonická
• Gnomonická se souřadnicemi
• Původní
• Původní se souřadnicemi
Obrázky
• Gnomonická
• Gnomonická se souřadnicemi
• Původní
• Původní se souřadnicemi
Textové soubory
• Detekce
• Pozorování
• Souřadnice
• Protokol
Jasnost

Loten (LOT) cam3


gnomonic
Videa
• Gnomonická
• Gnomonická se souřadnicemi
• Původní
• Původní se souřadnicemi
Obrázky
• Gnomonická
• Gnomonická se souřadnicemi
• Původní
• Původní se souřadnicemi
Textové soubory
• Detekce
• Pozorování
• Souřadnice
• Protokol
Jasnost